LAB 2 - PROPERTIES AND REACTIONS OF HYDROCARBONS
- Page ID
- 506269
\( \newcommand{\vecs}[1]{\overset { \scriptstyle \rightharpoonup} {\mathbf{#1}} } \)
\( \newcommand{\vecd}[1]{\overset{-\!-\!\rightharpoonup}{\vphantom{a}\smash {#1}}} \)
\( \newcommand{\dsum}{\displaystyle\sum\limits} \)
\( \newcommand{\dint}{\displaystyle\int\limits} \)
\( \newcommand{\dlim}{\displaystyle\lim\limits} \)
\( \newcommand{\id}{\mathrm{id}}\) \( \newcommand{\Span}{\mathrm{span}}\)
( \newcommand{\kernel}{\mathrm{null}\,}\) \( \newcommand{\range}{\mathrm{range}\,}\)
\( \newcommand{\RealPart}{\mathrm{Re}}\) \( \newcommand{\ImaginaryPart}{\mathrm{Im}}\)
\( \newcommand{\Argument}{\mathrm{Arg}}\) \( \newcommand{\norm}[1]{\| #1 \|}\)
\( \newcommand{\inner}[2]{\langle #1, #2 \rangle}\)
\( \newcommand{\Span}{\mathrm{span}}\)
\( \newcommand{\id}{\mathrm{id}}\)
\( \newcommand{\Span}{\mathrm{span}}\)
\( \newcommand{\kernel}{\mathrm{null}\,}\)
\( \newcommand{\range}{\mathrm{range}\,}\)
\( \newcommand{\RealPart}{\mathrm{Re}}\)
\( \newcommand{\ImaginaryPart}{\mathrm{Im}}\)
\( \newcommand{\Argument}{\mathrm{Arg}}\)
\( \newcommand{\norm}[1]{\| #1 \|}\)
\( \newcommand{\inner}[2]{\langle #1, #2 \rangle}\)
\( \newcommand{\Span}{\mathrm{span}}\) \( \newcommand{\AA}{\unicode[.8,0]{x212B}}\)
\( \newcommand{\vectorA}[1]{\vec{#1}} % arrow\)
\( \newcommand{\vectorAt}[1]{\vec{\text{#1}}} % arrow\)
\( \newcommand{\vectorB}[1]{\overset { \scriptstyle \rightharpoonup} {\mathbf{#1}} } \)
\( \newcommand{\vectorC}[1]{\textbf{#1}} \)
\( \newcommand{\vectorD}[1]{\overrightarrow{#1}} \)
\( \newcommand{\vectorDt}[1]{\overrightarrow{\text{#1}}} \)
\( \newcommand{\vectE}[1]{\overset{-\!-\!\rightharpoonup}{\vphantom{a}\smash{\mathbf {#1}}}} \)
\( \newcommand{\vecs}[1]{\overset { \scriptstyle \rightharpoonup} {\mathbf{#1}} } \)
\(\newcommand{\longvect}{\overrightarrow}\)
\( \newcommand{\vecd}[1]{\overset{-\!-\!\rightharpoonup}{\vphantom{a}\smash {#1}}} \)
\(\newcommand{\avec}{\mathbf a}\) \(\newcommand{\bvec}{\mathbf b}\) \(\newcommand{\cvec}{\mathbf c}\) \(\newcommand{\dvec}{\mathbf d}\) \(\newcommand{\dtil}{\widetilde{\mathbf d}}\) \(\newcommand{\evec}{\mathbf e}\) \(\newcommand{\fvec}{\mathbf f}\) \(\newcommand{\nvec}{\mathbf n}\) \(\newcommand{\pvec}{\mathbf p}\) \(\newcommand{\qvec}{\mathbf q}\) \(\newcommand{\svec}{\mathbf s}\) \(\newcommand{\tvec}{\mathbf t}\) \(\newcommand{\uvec}{\mathbf u}\) \(\newcommand{\vvec}{\mathbf v}\) \(\newcommand{\wvec}{\mathbf w}\) \(\newcommand{\xvec}{\mathbf x}\) \(\newcommand{\yvec}{\mathbf y}\) \(\newcommand{\zvec}{\mathbf z}\) \(\newcommand{\rvec}{\mathbf r}\) \(\newcommand{\mvec}{\mathbf m}\) \(\newcommand{\zerovec}{\mathbf 0}\) \(\newcommand{\onevec}{\mathbf 1}\) \(\newcommand{\real}{\mathbb R}\) \(\newcommand{\twovec}[2]{\left[\begin{array}{r}#1 \\ #2 \end{array}\right]}\) \(\newcommand{\ctwovec}[2]{\left[\begin{array}{c}#1 \\ #2 \end{array}\right]}\) \(\newcommand{\threevec}[3]{\left[\begin{array}{r}#1 \\ #2 \\ #3 \end{array}\right]}\) \(\newcommand{\cthreevec}[3]{\left[\begin{array}{c}#1 \\ #2 \\ #3 \end{array}\right]}\) \(\newcommand{\fourvec}[4]{\left[\begin{array}{r}#1 \\ #2 \\ #3 \\ #4 \end{array}\right]}\) \(\newcommand{\cfourvec}[4]{\left[\begin{array}{c}#1 \\ #2 \\ #3 \\ #4 \end{array}\right]}\) \(\newcommand{\fivevec}[5]{\left[\begin{array}{r}#1 \\ #2 \\ #3 \\ #4 \\ #5 \\ \end{array}\right]}\) \(\newcommand{\cfivevec}[5]{\left[\begin{array}{c}#1 \\ #2 \\ #3 \\ #4 \\ #5 \\ \end{array}\right]}\) \(\newcommand{\mattwo}[4]{\left[\begin{array}{rr}#1 \amp #2 \\ #3 \amp #4 \\ \end{array}\right]}\) \(\newcommand{\laspan}[1]{\text{Span}\{#1\}}\) \(\newcommand{\bcal}{\cal B}\) \(\newcommand{\ccal}{\cal C}\) \(\newcommand{\scal}{\cal S}\) \(\newcommand{\wcal}{\cal W}\) \(\newcommand{\ecal}{\cal E}\) \(\newcommand{\coords}[2]{\left\{#1\right\}_{#2}}\) \(\newcommand{\gray}[1]{\color{gray}{#1}}\) \(\newcommand{\lgray}[1]{\color{lightgray}{#1}}\) \(\newcommand{\rank}{\operatorname{rank}}\) \(\newcommand{\row}{\text{Row}}\) \(\newcommand{\col}{\text{Col}}\) \(\renewcommand{\row}{\text{Row}}\) \(\newcommand{\nul}{\text{Nul}}\) \(\newcommand{\var}{\text{Var}}\) \(\newcommand{\corr}{\text{corr}}\) \(\newcommand{\len}[1]{\left|#1\right|}\) \(\newcommand{\bbar}{\overline{\bvec}}\) \(\newcommand{\bhat}{\widehat{\bvec}}\) \(\newcommand{\bperp}{\bvec^\perp}\) \(\newcommand{\xhat}{\widehat{\xvec}}\) \(\newcommand{\vhat}{\widehat{\vvec}}\) \(\newcommand{\uhat}{\widehat{\uvec}}\) \(\newcommand{\what}{\widehat{\wvec}}\) \(\newcommand{\Sighat}{\widehat{\Sigma}}\) \(\newcommand{\lt}{<}\) \(\newcommand{\gt}{>}\) \(\newcommand{\amp}{&}\) \(\definecolor{fillinmathshade}{gray}{0.9}\)The purpose of this experiment is to
- Draw structures of hydrocarbons.
- Name alkanes, alkenes, and alkynes.
- Explore the physical properties and reactions of hydrocarbons.
- Identify an unknown as saturated or unsaturated based on the results of chemical tests.
INTRODUCTION
Hydrocarbons, composed of carbon and hydrogen, are the simplest organic compounds. Alkanes contain only single bonds and are classified as saturated hydrocarbons because they have the maximum amount of hydrogen possible. Open-chain alkanes can be represented by the formula CnH2n+2, where n indicates the number of carbon atoms. Other hydrocarbons have multiple bonds or rings and consequently possess fewer hydrogen atoms than predicted by this formula. For instance, cycloalkanes have two fewer hydrogens than alkanes and follow the general formula CnH2n. Alkenes and alkynes, which include carbon-carbon double and triple bonds, respectively, also do not match the hydrogen count of alkanes. These are known as unsaturated hydrocarbons. Aromatic hydrocarbons, which contain a benzene ring, are also unsaturated due to the presence of multiple double bonds.
In this experiment, you will first explore the nomenclature of hydrocarbons, structure, and physical properties. The pre-lab questions will provide a review of the material covered. Then, you will run combustion, halogenation, and oxidation reactions with select hydrocarbons.
All hydrocarbons undergo combustion in the presence of heat and oxygen. Assuming that the hydrocarbon is the limiting reactant, the products of this reaction will be carbon dioxide and water vapor, as demonstrated by the complete combustion of propane below:
Hydrocarbons can also be halogenated under certain conditions. Alkanes can react with chlorine and bromine in the presence of heat or light to produce a mixture of alkyl halides. When predicting the products of these reactions, we assume mono-halogenation, although in reality, multiple halogenations can occur. For example, the chlorination of propane can give two mono-halogenated products:

The above chlorination reaction is a substitution reaction in which a chlorine atom replaces a hydrogen atom in a molecule.
Alkenes and alkynes are more reactive than alkanes and can react with halogens at room temperature. Consider the reaction of 1-hexene (hex-1-ene) with bromine:

The above reaction is an addition reaction, as both bromines add across the double bond. The reaction between an alkene or alkyne and bromine is also a chemical test for unsaturation. As you will see in this experiment, bromine is a dark red liquid. The solution will turn light yellow or colorless when added to an alkene or alkyne since no additional bromine is present, indicating a positive test result. If no reaction occurs, the dark red color of bromine will remain, resulting in a negative test result. Alkanes and aromatic hydrocarbons would yield a negative bromine test result.
The potassium permanganate test is another chemical test used to detect unsaturation. When potassium permanganate reacts with an alkene or alkyne, the purple permanganate solution disappears, and a brown solid is formed, as shown by the reaction with 1-hexene (hex-1-ene):

In the above reaction, the alkene is oxidized to form a diol. Manganese is reduced from the +7 oxidation state to the +4 oxidation state, indicating a positive test result for unsaturation. If potassium permanganate is added to an alkane or aromatic hydrocarbon, a negative test result would occur, in which the purple color of the permanganate solution remains unchanged.
1) Always wear goggles while working with chemicals in this lab.
2) Wear gloves while working on this experiment.
3) Handle all chemicals under a working fume hood.
4) Dispose of all waste in the appropriate waste container, which should also be kept under a fume hood.
5) Thoroughly clean all glassware and your work area at the end of the experiment.
6) Before leaving the lab, wash your hands.
CHEMICALS AND EQUIPMENT NEEDED
CHEMICALS |
CHEMICALS |
EQUIPMENT |
|---|---|---|
|
Pentane |
Distilled or Deionized Water |
6 small or medium-sized test tubes |
|
Hexane |
1% bromine in methylene chloride (or a solution of similar concentration) |
Test Tube Rack |
|
Heptane |
1% aqueous potassium permanganate solution (or similar concentration) |
10 mL graduated cylinder |
|
Cyclohexane |
Toluene |
Watch glass |
|
Cyclohexene |
Halogenated and Non-halogenated organic waste containers |
Evaporating dish |
EXPERIMENTAL PROCEDURE
Part A: Structures of Hydrocarbons
i) Draw the structures (Lewis, condensed, or line-bond) for the following hydrocarbons used in this experiment, as listed in the data table. Pentane, Hexane, Heptane, Cyclohexane, Cyclohexene, Toluene
ii) Identify the functional groups present in each compound.
Part B: Solubility of Alkanes
1) Obtain six small or medium-sized test tubes.
2) Add the following reagents to each test tube:
Test tube 1: 1 mL of pentane and 1 mL of water
Test tube 2: 1 mL of hexane and 1 mL of water
Test tube 3: 1 mL of heptane and 1 mL of water
Test tube 4: 1 mL of pentane and 1 mL of toluene
Test tube 5: 1 mL of hexane and 1 mL of toluene
Test tube 6: 1 mL of heptane and 1 mL of toluene
3) Thoroughly mix each solution and record your observations.
4) Pour the contents of each test tube into the non-halogenated waste container. Thoroughly rinse and dry each test tube.
Part C: Density of Alkanes
1) Obtain the mass of an empty 10 mL graduated cylinder.
2) Add 2 mL of pentane and get the combined mass of the cylinder and pentane.
3) Calculate the density of pentane.
4) Pour the contents of the graduated cylinder into the non-halogenated waste container. Thoroughly clean and dry the graduated cylinder.
5) Repeat steps 1-4 for hexane and heptane.
Part D: Volatility of Alkanes
1) Obtain a watch glass. Under the hood, add 1 mL of pentane to the watch glass, and record the time it takes for the pentane to evaporate completely.
2) Repeat the procedure for hexane and heptane.
3) Thoroughly clean and dry the watch glass.
Part E: Combustion of Hexane
Under the hood, add 10 drops of hexane to an evaporating dish. CAREFULLY, with supervision from your instructor, light a match and touch it to the hexane. Close the hood door, and observe the reaction. (Note: This may be performed as an instructor demo.)
Part F: Halogenation of Hydrocarbons
1) Obtain four small or medium-sized test tubes. Under the hood, add the following reagents:
Test tube 1: 10 drops of cyclohexane and five drops of bromine solution.
Test tube 2: 10 drops of cyclohexene and five drops of bromine solution
Test tube 3: 10 drops of toluene and five drops of bromine solution
Test tube 4: 10 drops of unknown and five drops of bromine solution
2) Thoroughly mix each solution and record your observations.
3) Under the hood, pour the contents of each test tube into the halogenated organic waste container. Clean and rinse test tubes under the hood before removing them to dry.
Part G: Oxidation of Hydrocarbons
1) Gather four small or medium test tubes. Under the hood, add the following reagents:
Test tube 1: 10 drops of cyclohexane and five drops of potassium permanganate solution
Test tube 2: 10 drops of cyclohexene and five drops of potassium permanganate solution
Test tube 3: 10 drops of toluene and five drops of potassium permanganate
Test tube 4: 10 drops of unknown and five drops of potassium permanganate
2) Thoroughly mix each solution and record your observations.
3) Under the hood, pour the contents of each test tube into the non-halogenated organic waste container. Clean and rinse test tubes under the hood before removing them to dry.
PRE-LAB QUESTIONS
Name: _________________________
- Using the molecular formulas, determine if the following compounds are saturated or unsaturated.
Part A: C3H8 :
Part B: C5H8 :
Part C: C7H8 :
2. Provide an acceptable name for the following hydrocarbons.
3) Draw structures for the following hydrocarbons.
Part A: 2-methyl-1-pentene
Part B: hept-3-yne
Part C: 2,2,5-trimethylhexane
Part D: 1-ethyl-3-methylbenzene
Part E: 1-methylcyclopentene
4) Are hydrocarbons polar or nonpolar? Explain.
5) What would you predict will happen when water adds a hydrocarbon?
6) Rank the following compounds in order of increasing predicted boiling point.
Pentane 2-methylbutane 2,2-dimethylpropane hexane
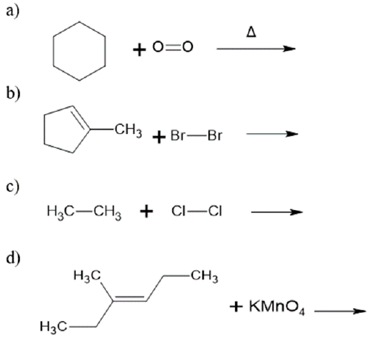
7) Predict the products of each reaction. If no reaction is predicted, write 'NR' for no response.

DATA AND OBSERVATIONS
Name: _________________________Lab Partner(s): ______________________________
Part A: Structures of Hydrocarbons
Compound |
Structure |
Functional group |
|---|---|---|
|
Pentane |
||
|
Hexane |
||
|
Heptane |
||
|
Cyclohexane |
||
|
Cyclohexene |
||
|
Toluene |
Test Tube |
Contents |
Observation |
|---|---|---|
|
1 |
Pentane and Water |
|
|
2 |
Hexane and Water |
|
|
3 |
Heptane and Water |
|
|
4 |
Pentane and Toluene |
|
|
5 |
Hexane and Toluene |
|
|
6 |
Heptane and Toluene |
Part C: Density of Alkanes
Pentane |
Hexane |
Heptane |
|
|---|---|---|---|
|
Mass of the empty cylinder |
|||
|
Mass of cylinder and compound |
|||
|
Mass of compound |
|||
|
Volume of compound |
|||
|
Density of compound |
Show all the calculations for densities:
Part D: Volatility of Alkanes
Compound |
Time for Complete Evaporation |
|---|---|
|
Pentane |
|
|
Hexane |
|
|
Heptane |
Part E: Combustion of Hexane
Record your observations here:
Write the balanced equation for the complete combustion of hexane:
Parts F-G: Halogenation/Oxidation of Hydrocarbons
Unknown Letter / Number =
Results of the Bromine Test |
Results of the Potassium Permanganate Test |
|
|---|---|---|
|
Cyclohexane |
||
|
Cyclohexene |
||
|
Toluene |
||
|
Unknown |
Based on these test results, is your unknown saturated or unsaturated? Explain.
POST-LAB QUESTIONS
- Summarize the results of the solubility test of alkanes (part B). Why were certain solutions formed while others were not?
- Explain any noted trends in part C (density of alkanes).
- Part A: What is the relationship between volatility and boiling point?
Part B: Look up and record the boiling points of pentane, hexane, and heptane. Does the trend described in part A match the results of your experiment (see results from part D)? Explain. - Refer to part E (combustion of hexane). What other chemicals used in this experiment (pentane, heptane, cyclohexane, cyclohexene, toluene, and water) would you expect to react the same way as hexane?
- Draw and name five constitutional isomers with molecular formula C5H10.
- An unknown molecular formula C5H8 showed positive test results with the bromine and potassium permanganate reagents. Using only this information, draw three possible structures for the unknown.
Please click here to access the Pre-Lab, Data Tables, and Post-Lab in Word or PDF format. Complete them and upload the lab report according to your instructor's instructions.


