II. Selenides
- Page ID
- 24018
\( \newcommand{\vecs}[1]{\overset { \scriptstyle \rightharpoonup} {\mathbf{#1}} } \)
\( \newcommand{\vecd}[1]{\overset{-\!-\!\rightharpoonup}{\vphantom{a}\smash {#1}}} \)
\( \newcommand{\dsum}{\displaystyle\sum\limits} \)
\( \newcommand{\dint}{\displaystyle\int\limits} \)
\( \newcommand{\dlim}{\displaystyle\lim\limits} \)
\( \newcommand{\id}{\mathrm{id}}\) \( \newcommand{\Span}{\mathrm{span}}\)
( \newcommand{\kernel}{\mathrm{null}\,}\) \( \newcommand{\range}{\mathrm{range}\,}\)
\( \newcommand{\RealPart}{\mathrm{Re}}\) \( \newcommand{\ImaginaryPart}{\mathrm{Im}}\)
\( \newcommand{\Argument}{\mathrm{Arg}}\) \( \newcommand{\norm}[1]{\| #1 \|}\)
\( \newcommand{\inner}[2]{\langle #1, #2 \rangle}\)
\( \newcommand{\Span}{\mathrm{span}}\)
\( \newcommand{\id}{\mathrm{id}}\)
\( \newcommand{\Span}{\mathrm{span}}\)
\( \newcommand{\kernel}{\mathrm{null}\,}\)
\( \newcommand{\range}{\mathrm{range}\,}\)
\( \newcommand{\RealPart}{\mathrm{Re}}\)
\( \newcommand{\ImaginaryPart}{\mathrm{Im}}\)
\( \newcommand{\Argument}{\mathrm{Arg}}\)
\( \newcommand{\norm}[1]{\| #1 \|}\)
\( \newcommand{\inner}[2]{\langle #1, #2 \rangle}\)
\( \newcommand{\Span}{\mathrm{span}}\) \( \newcommand{\AA}{\unicode[.8,0]{x212B}}\)
\( \newcommand{\vectorA}[1]{\vec{#1}} % arrow\)
\( \newcommand{\vectorAt}[1]{\vec{\text{#1}}} % arrow\)
\( \newcommand{\vectorB}[1]{\overset { \scriptstyle \rightharpoonup} {\mathbf{#1}} } \)
\( \newcommand{\vectorC}[1]{\textbf{#1}} \)
\( \newcommand{\vectorD}[1]{\overrightarrow{#1}} \)
\( \newcommand{\vectorDt}[1]{\overrightarrow{\text{#1}}} \)
\( \newcommand{\vectE}[1]{\overset{-\!-\!\rightharpoonup}{\vphantom{a}\smash{\mathbf {#1}}}} \)
\( \newcommand{\vecs}[1]{\overset { \scriptstyle \rightharpoonup} {\mathbf{#1}} } \)
\(\newcommand{\longvect}{\overrightarrow}\)
\( \newcommand{\vecd}[1]{\overset{-\!-\!\rightharpoonup}{\vphantom{a}\smash {#1}}} \)
\(\newcommand{\avec}{\mathbf a}\) \(\newcommand{\bvec}{\mathbf b}\) \(\newcommand{\cvec}{\mathbf c}\) \(\newcommand{\dvec}{\mathbf d}\) \(\newcommand{\dtil}{\widetilde{\mathbf d}}\) \(\newcommand{\evec}{\mathbf e}\) \(\newcommand{\fvec}{\mathbf f}\) \(\newcommand{\nvec}{\mathbf n}\) \(\newcommand{\pvec}{\mathbf p}\) \(\newcommand{\qvec}{\mathbf q}\) \(\newcommand{\svec}{\mathbf s}\) \(\newcommand{\tvec}{\mathbf t}\) \(\newcommand{\uvec}{\mathbf u}\) \(\newcommand{\vvec}{\mathbf v}\) \(\newcommand{\wvec}{\mathbf w}\) \(\newcommand{\xvec}{\mathbf x}\) \(\newcommand{\yvec}{\mathbf y}\) \(\newcommand{\zvec}{\mathbf z}\) \(\newcommand{\rvec}{\mathbf r}\) \(\newcommand{\mvec}{\mathbf m}\) \(\newcommand{\zerovec}{\mathbf 0}\) \(\newcommand{\onevec}{\mathbf 1}\) \(\newcommand{\real}{\mathbb R}\) \(\newcommand{\twovec}[2]{\left[\begin{array}{r}#1 \\ #2 \end{array}\right]}\) \(\newcommand{\ctwovec}[2]{\left[\begin{array}{c}#1 \\ #2 \end{array}\right]}\) \(\newcommand{\threevec}[3]{\left[\begin{array}{r}#1 \\ #2 \\ #3 \end{array}\right]}\) \(\newcommand{\cthreevec}[3]{\left[\begin{array}{c}#1 \\ #2 \\ #3 \end{array}\right]}\) \(\newcommand{\fourvec}[4]{\left[\begin{array}{r}#1 \\ #2 \\ #3 \\ #4 \end{array}\right]}\) \(\newcommand{\cfourvec}[4]{\left[\begin{array}{c}#1 \\ #2 \\ #3 \\ #4 \end{array}\right]}\) \(\newcommand{\fivevec}[5]{\left[\begin{array}{r}#1 \\ #2 \\ #3 \\ #4 \\ #5 \\ \end{array}\right]}\) \(\newcommand{\cfivevec}[5]{\left[\begin{array}{c}#1 \\ #2 \\ #3 \\ #4 \\ #5 \\ \end{array}\right]}\) \(\newcommand{\mattwo}[4]{\left[\begin{array}{rr}#1 \amp #2 \\ #3 \amp #4 \\ \end{array}\right]}\) \(\newcommand{\laspan}[1]{\text{Span}\{#1\}}\) \(\newcommand{\bcal}{\cal B}\) \(\newcommand{\ccal}{\cal C}\) \(\newcommand{\scal}{\cal S}\) \(\newcommand{\wcal}{\cal W}\) \(\newcommand{\ecal}{\cal E}\) \(\newcommand{\coords}[2]{\left\{#1\right\}_{#2}}\) \(\newcommand{\gray}[1]{\color{gray}{#1}}\) \(\newcommand{\lgray}[1]{\color{lightgray}{#1}}\) \(\newcommand{\rank}{\operatorname{rank}}\) \(\newcommand{\row}{\text{Row}}\) \(\newcommand{\col}{\text{Col}}\) \(\renewcommand{\row}{\text{Row}}\) \(\newcommand{\nul}{\text{Nul}}\) \(\newcommand{\var}{\text{Var}}\) \(\newcommand{\corr}{\text{corr}}\) \(\newcommand{\len}[1]{\left|#1\right|}\) \(\newcommand{\bbar}{\overline{\bvec}}\) \(\newcommand{\bhat}{\widehat{\bvec}}\) \(\newcommand{\bperp}{\bvec^\perp}\) \(\newcommand{\xhat}{\widehat{\xvec}}\) \(\newcommand{\vhat}{\widehat{\vvec}}\) \(\newcommand{\uhat}{\widehat{\uvec}}\) \(\newcommand{\what}{\widehat{\wvec}}\) \(\newcommand{\Sighat}{\widehat{\Sigma}}\) \(\newcommand{\lt}{<}\) \(\newcommand{\gt}{>}\) \(\newcommand{\amp}{&}\) \(\definecolor{fillinmathshade}{gray}{0.9}\)A. Reaction Mechanism
The SH2 mechanism pictured in Scheme 1 and the stepwise process shown in Scheme 2 both are considered possibilities for explaining the reaction between a phenyl selenide and a tin- or silicon-centered radical.6 The tris(trimethylsilyl)silyl radical (1) is used in illustrating these two mechanisms because it plays a significant role in the choice between them.2 A way for making this choice begins with the observation that the absolute rate constant for reaction of 1 with cyclohexyl phenyl selenide to give cyclohexane (kSe) is 9.6 x 107 M-1s-1 and the rate constant for reaction of 1-bromooctane to give octane (kBr) is 2.0 x 107 M-1s-1. If every cyclohexyl and 1-octyl radical is formed irreversibly and abstracts a hydrogen atom from (CH3Si)3SiH (Scheme 3), then the ratio kSe/kBr should be equal to the ratio of cyclohexane to octane formed when an equal-molar mixture of the selenide and bromide react with a limited amount of 1. When an experiment to test this possibility is conducted, the ratio of cyclohexane to octane in the product mixture is 0.08, a value far less than the 4.8 ratio predicted from the absolute rate constants (Scheme 3).2 This result is inconsistent with a process in which both the bromide and selenide react according to the SH2 mechanism shown in Scheme 3. The 0.08 ratio is consistent with the bromide reacting as pictured in Scheme 3 but the selenide producing an intermediate that can return to the starting materials (Scheme 4). A likely intermediate in such a reaction is one with a hypervalent selenium atom.2 The results from this comparative experiment, therefore, favor the stepwise mechanism for selenide reaction shown in Scheme 2 over the concerted process pictured in Scheme 1.




B. Reactions
1. Reduction
Carbohydrates that have a selenophenyl group attached to a pyranoid ring react with tri-n-butyltin hydride, triphenyltin hydride, or tris(trimethylsilyl)silane to replace the selenium-containing group with a hydrogen atom.7–19 Such a reaction is the final step in the disaccharide synthesis shown in Scheme 5.7 Although reduction involving selenophenyl group replacement is usually at C-2 in monosaccharides or at C-2' in disaccharides and nucleosides, reaction in monosaccharides also has been observed at C-117,18 and at C‑6.20

The polymer 3,21,22 with selenium attached to the aromatic rings in polystyrene, reacts with the glycal 2 in the presence of the partially protected sugar 4 to produce the carbohydrate-containing polymers 5 and 6 (Scheme 6).21 (The polymer-bound reagent 3 has the advantage that it is odorless, safer, and more convenient to handle than C6H5SeCl, which is toxic and foul smelling.21) Reaction of 5 and 6 with tri-n-butyltin hydride releases the carbohydrates from the polymers and, at the same time, completes the reduction process.

Replacing a selenophenyl group in a five-membered ring by a hydrogen atom is a common reaction for nucleosides and nucleoside analogs.23–32 This replacement can be conducted either at 80-110 oC with AIBN initiation (eq 1),23 or at room temperature with Et3B–O2 as the initiator (eq 2).26 [Selenophenyl group replacement, when initiated by Et3B–O2, can occur at temperatures as low as ‑75 oC (eq 3).31] Tri-n-butyltin hydride is the normal hydrogen-atom transfer in such reactions, but tris(trimethylsilyl)silane (eq 4)28 and 1,4-cyclohexadiene (eq 5)30 also are effective in this role. Yields from reaction of Bu3SnH with carbohydrates containing selenophenyl groups remain high when the oxygen atom in a furanoid ring is replaced by a sulfur atom.33–35
.png?revision=1&size=bestfit&width=420&height=101)
.png?revision=1&size=bestfit&width=385&height=124)
.png?revision=1&size=bestfit&width=430&height=128)
.png?revision=1&size=bestfit&width=395&height=119)
.png?revision=1&size=bestfit&width=435&height=150)
2. Addition
Carbohydrate radicals generated from phenyl selenides undergo characteristic addition reactions with compounds containing multiple bonds.19,36–39 These radicals add not only to decidedly electron-deficient double bonds, such as that found in t-butyl acrylate, but also to less electron-deficient double bonds, such as that present in styrene.19,37,38 Product yields from addition to styrene are lower, however, because hydrogen-atom abstraction from tri-n-butyltin hydride to give the reduction product competes effectively with addition to a less electron-deficient multiple bond (eq 6). Conditions are critical to the success of these addition reactions because only hydrogen-atom abstraction is observed unless Et3B–O2 is the initiator and the reaction is run at room temperature.38 As is typical for reactions of this type (i.e., ones that form intermediate pyranos-1-yl radicals), the stereoselectivity of addition is controlled by the kinetic anomeric effect [Section III.B of Chapter 11 in Volume I].
.png?revision=1&size=bestfit&width=430&height=174)
3. Cyclization
The reaction shown in Scheme 740 illustrates the established preference of unsaturated radicals for forming five-membered rings even when six-membered ones are possible.40–43 This reaction (Scheme 7) also reveals a complication in radical cyclization caused by internal hydrogen-atom abstraction, a process that leads in this instance to epimerization at C-5. Only carbon-centered radicals that are very reactive, such as the primary radical 7, are able to abstract a hydrogen atom from a carbon–hydrogen bond fast enough to be of consequence. Epimerization at C-5 in this reaction can be reduced or even eliminated by increasing the tri-n-butyltin hydride concentration to the point that internal hydrogen-atom abstraction by 7 no longer competes successfully with abstraction from Bu3SnH (Scheme 7).40

Cyclization of unsaturated carbohydrates in which a selenophenyl group is attached to a pyranoid ring is marked by a surprising variety of new ring systems that can be produced. In addition to the expected five-40–44 and six-membered45 rings, formation of seven-membered,46 eight-membered,47,48 and even nine-membered49–54 rings also takes place. Larger rings usually are generated when a radical center and a multiple bond are linked through a silicon–oxygen connector.46–52 Reactions of this type often produce carbohydrates in which two saccharide units are linked by a methylene bridge (Scheme 8.)48 Although bridges containing silicon and oxygen atoms are common, reactions also occur between monosaccharides connected by other combinations of atoms.53,54

In cyclization reactions a selenophenyl group attached to a furanoid ring behaves in a manner similar to one attached to a pyranoid ring; that is, reaction produces a radical that adds to a connected multiple bond. The connecting group sometimes contains a nitrogen atom (eq 7)55 or an oxygen atom56–58 (eq 856) or the collection of atoms that make up an ester linkage,59,60 but as is the case for compounds with pyranoid rings, a radical centered in a furanoid ring frequently has the unsaturated group tethered to the five-membered ring through a silicon–oxygen bridge61–69 (eq 961). Reported radical cyclization of this type, such as that shown in eq 10,62 often involves reaction of a nucleoside.
.png?revision=1&size=bestfit&width=395&height=200)
.png?revision=1&size=bestfit&width=390&height=103)
.png?revision=1&size=bestfit&width=430&height=156)
.png?revision=1&size=bestfit&width=345&height=101)
Although in most carbohydrates a selenophenyl group undergoing reaction is bonded to a ring carbon atom, cyclization70,71 (and addition72) reactions also can start with a ring-open structure. An example is given in eq 11.70 Cyclization of the ring-open selenide 8 begins with electron transfer from samarium(II) iodide. The intermediate samarium ketyl formed during this reaction displaces a benzyl group from selenium to give a ring system that contains a selenium atom (Scheme 9).73 This is an unusual method for ring formation because it takes place by group displacement rather than addition to a multiple bond.
.png?revision=1&size=bestfit&width=435&height=197)

4. Group Migration
Group migration is a characteristic reaction of a pyranos-1-yl radical that has an acyloxy group attached to C-2. Since phenyl selenides are one type of precursor for these radicals, it is reasonable to expect selenides to be substrates for such a migration.5,74,75 The reaction shown in eq 12 justifies this expectation.5 (Acyloxy-group-migration reactions are discussed in Section V. of Chapter 8.)
.png?revision=1&size=bestfit&width=430&height=129)
5. Radical-Cation Formation
In the reaction shown in Scheme 10 abstraction of the selenophenyl group from 9 by Bu3Sn· gives the pyranos-1‑yl radical 10, which then fragments to produce the radical cation 11.76 This radical cation then undergoes a combination of cyclization, proton loss, and hydrogen-atom abstraction to give the final product. Investigating radical-cation formation from nucleotides containing selenophenyl groups is used to study the mechanism of DNA strand scission.77,78

6. Radical Combination
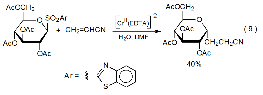
Replacement of a selenophenyl group with a hydrogen atom typically depends on the ability of a reagent such as tri-n-butyltin hydride both to provide a chain-carrying radical (Bu3Sn·) and to serve as a hydrogen-atom transfer. If this reagent is replaced by one that lacks hydrogen-donating ability but retains the capacity to generate a chain-carrying radical, selenophenyl group loss still will occur, but hydrogen-atom abstraction cannot be depended upon to complete the reaction. If unsaturated reactants are present, radical addition is possible, but if such compounds are absent, radical combination can take place (eq 13).4 {[Combination of the type shown in eq 13 also happens when pyranos-1-yl radicals are formed from glycosyl bromides [Chapter 2, Section III.G.1] and glycosyl phenyl sulfones [Chapter 3, Section VII.B.1.c.]}
.png?revision=1&size=bestfit&width=425&height=109)

