6.7.2: Iron-sulfur Proteins and Models (Part 2)
- Page ID
- 300955
\( \newcommand{\vecs}[1]{\overset { \scriptstyle \rightharpoonup} {\mathbf{#1}} } \)
\( \newcommand{\vecd}[1]{\overset{-\!-\!\rightharpoonup}{\vphantom{a}\smash {#1}}} \)
\( \newcommand{\dsum}{\displaystyle\sum\limits} \)
\( \newcommand{\dint}{\displaystyle\int\limits} \)
\( \newcommand{\dlim}{\displaystyle\lim\limits} \)
\( \newcommand{\id}{\mathrm{id}}\) \( \newcommand{\Span}{\mathrm{span}}\)
( \newcommand{\kernel}{\mathrm{null}\,}\) \( \newcommand{\range}{\mathrm{range}\,}\)
\( \newcommand{\RealPart}{\mathrm{Re}}\) \( \newcommand{\ImaginaryPart}{\mathrm{Im}}\)
\( \newcommand{\Argument}{\mathrm{Arg}}\) \( \newcommand{\norm}[1]{\| #1 \|}\)
\( \newcommand{\inner}[2]{\langle #1, #2 \rangle}\)
\( \newcommand{\Span}{\mathrm{span}}\)
\( \newcommand{\id}{\mathrm{id}}\)
\( \newcommand{\Span}{\mathrm{span}}\)
\( \newcommand{\kernel}{\mathrm{null}\,}\)
\( \newcommand{\range}{\mathrm{range}\,}\)
\( \newcommand{\RealPart}{\mathrm{Re}}\)
\( \newcommand{\ImaginaryPart}{\mathrm{Im}}\)
\( \newcommand{\Argument}{\mathrm{Arg}}\)
\( \newcommand{\norm}[1]{\| #1 \|}\)
\( \newcommand{\inner}[2]{\langle #1, #2 \rangle}\)
\( \newcommand{\Span}{\mathrm{span}}\) \( \newcommand{\AA}{\unicode[.8,0]{x212B}}\)
\( \newcommand{\vectorA}[1]{\vec{#1}} % arrow\)
\( \newcommand{\vectorAt}[1]{\vec{\text{#1}}} % arrow\)
\( \newcommand{\vectorB}[1]{\overset { \scriptstyle \rightharpoonup} {\mathbf{#1}} } \)
\( \newcommand{\vectorC}[1]{\textbf{#1}} \)
\( \newcommand{\vectorD}[1]{\overrightarrow{#1}} \)
\( \newcommand{\vectorDt}[1]{\overrightarrow{\text{#1}}} \)
\( \newcommand{\vectE}[1]{\overset{-\!-\!\rightharpoonup}{\vphantom{a}\smash{\mathbf {#1}}}} \)
\( \newcommand{\vecs}[1]{\overset { \scriptstyle \rightharpoonup} {\mathbf{#1}} } \)
\(\newcommand{\longvect}{\overrightarrow}\)
\( \newcommand{\vecd}[1]{\overset{-\!-\!\rightharpoonup}{\vphantom{a}\smash {#1}}} \)
\(\newcommand{\avec}{\mathbf a}\) \(\newcommand{\bvec}{\mathbf b}\) \(\newcommand{\cvec}{\mathbf c}\) \(\newcommand{\dvec}{\mathbf d}\) \(\newcommand{\dtil}{\widetilde{\mathbf d}}\) \(\newcommand{\evec}{\mathbf e}\) \(\newcommand{\fvec}{\mathbf f}\) \(\newcommand{\nvec}{\mathbf n}\) \(\newcommand{\pvec}{\mathbf p}\) \(\newcommand{\qvec}{\mathbf q}\) \(\newcommand{\svec}{\mathbf s}\) \(\newcommand{\tvec}{\mathbf t}\) \(\newcommand{\uvec}{\mathbf u}\) \(\newcommand{\vvec}{\mathbf v}\) \(\newcommand{\wvec}{\mathbf w}\) \(\newcommand{\xvec}{\mathbf x}\) \(\newcommand{\yvec}{\mathbf y}\) \(\newcommand{\zvec}{\mathbf z}\) \(\newcommand{\rvec}{\mathbf r}\) \(\newcommand{\mvec}{\mathbf m}\) \(\newcommand{\zerovec}{\mathbf 0}\) \(\newcommand{\onevec}{\mathbf 1}\) \(\newcommand{\real}{\mathbb R}\) \(\newcommand{\twovec}[2]{\left[\begin{array}{r}#1 \\ #2 \end{array}\right]}\) \(\newcommand{\ctwovec}[2]{\left[\begin{array}{c}#1 \\ #2 \end{array}\right]}\) \(\newcommand{\threevec}[3]{\left[\begin{array}{r}#1 \\ #2 \\ #3 \end{array}\right]}\) \(\newcommand{\cthreevec}[3]{\left[\begin{array}{c}#1 \\ #2 \\ #3 \end{array}\right]}\) \(\newcommand{\fourvec}[4]{\left[\begin{array}{r}#1 \\ #2 \\ #3 \\ #4 \end{array}\right]}\) \(\newcommand{\cfourvec}[4]{\left[\begin{array}{c}#1 \\ #2 \\ #3 \\ #4 \end{array}\right]}\) \(\newcommand{\fivevec}[5]{\left[\begin{array}{r}#1 \\ #2 \\ #3 \\ #4 \\ #5 \\ \end{array}\right]}\) \(\newcommand{\cfivevec}[5]{\left[\begin{array}{c}#1 \\ #2 \\ #3 \\ #4 \\ #5 \\ \end{array}\right]}\) \(\newcommand{\mattwo}[4]{\left[\begin{array}{rr}#1 \amp #2 \\ #3 \amp #4 \\ \end{array}\right]}\) \(\newcommand{\laspan}[1]{\text{Span}\{#1\}}\) \(\newcommand{\bcal}{\cal B}\) \(\newcommand{\ccal}{\cal C}\) \(\newcommand{\scal}{\cal S}\) \(\newcommand{\wcal}{\cal W}\) \(\newcommand{\ecal}{\cal E}\) \(\newcommand{\coords}[2]{\left\{#1\right\}_{#2}}\) \(\newcommand{\gray}[1]{\color{gray}{#1}}\) \(\newcommand{\lgray}[1]{\color{lightgray}{#1}}\) \(\newcommand{\rank}{\operatorname{rank}}\) \(\newcommand{\row}{\text{Row}}\) \(\newcommand{\col}{\text{Col}}\) \(\renewcommand{\row}{\text{Row}}\) \(\newcommand{\nul}{\text{Nul}}\) \(\newcommand{\var}{\text{Var}}\) \(\newcommand{\corr}{\text{corr}}\) \(\newcommand{\len}[1]{\left|#1\right|}\) \(\newcommand{\bbar}{\overline{\bvec}}\) \(\newcommand{\bhat}{\widehat{\bvec}}\) \(\newcommand{\bperp}{\bvec^\perp}\) \(\newcommand{\xhat}{\widehat{\xvec}}\) \(\newcommand{\vhat}{\widehat{\vvec}}\) \(\newcommand{\uhat}{\widehat{\uvec}}\) \(\newcommand{\what}{\widehat{\wvec}}\) \(\newcommand{\Sighat}{\widehat{\Sigma}}\) \(\newcommand{\lt}{<}\) \(\newcommand{\gt}{>}\) \(\newcommand{\amp}{&}\) \(\definecolor{fillinmathshade}{gray}{0.9}\)Rubredoxin Model Systems
The simple mononuclear tetrahedral site of Rd has been chemically modeled in both its reduced and its oxidized forms. The bidentate o-xylyl-\(\alpha\),\(\alpha\)'-dithiolate ligand forms bis complexes of Fe(II) and Fe(III) that have spectroscopic features quite similar to those of the protein.62,63 The preparative procedure is relatively straightforward (Equation 7.1).
\(\tag{7.1}\)
The UV-visible-NIR spectra, Mössbauer spectra, and magnetic susceptibility differ only slightly from those of oxidized and reduced rubredoxins.
The monodentate benzenethiolate (thiophenolate) ligand, C6H5S-, similarly forms the ferrous Fe(SC6H5)42- complex.64,65 Although for some time it was felt that the oxidized form, Fe(SC6H5)4-, was inherently unstable, the sterically hindered monothiolate ligand 2,3,5,6-tetramethylbenzenethiolate was found to form66-68 a stable, quite symmetric Fe(III) tetrathiolate anion. Armed with this information, the preparation of the tetrakis(benzenethiolate) Fe(III) complex was reinvestigated, and the complex successfully synthesized67 (Equation 7.2).
\(\tag{7.2}\)
The Fe(III) and Fe(II) tetrathiolate species now serve as excellent structural models for the Fe sites of both oxidized and reduced Rd.69
The structural parameters for the oxidized rubredoxin analogues are very similar to those of the oxidized Rd iron site. The reduced complexes reveal a lengthening of the average Fe-S bond from 2.27 to 2.36 Å, consistent with the change in oxidation state from ferric to ferrous. The addition of an electron has a more profound structural effect in this single-iron center than in some of the multiiron clusters, where electrons are more delocalized.
Clearly, for the single-Fe sites, the dominant structural feature is their near-tetrahedral tetrathiolate coordination. The dominant electronic structural feature is the presence of high-spin Fe3+ and Fe2+ sites. The important mode of chemical reactivity is a simple one-electron transfer. Each of these features carries over to the 2Fe, 4Fe, and 3Fe sites discussed below.
Fe2S2 Ferredoxins
The simple 2Fe-2S proteins are sometimes referred to as "plant" or "plant-type" ferredoxins. The protein from spinach, which serves as an electron acceptor in the photosynthetic apparatus,14,15,50,70 was among the first to be wellcharacterized and widely studied, and could be considered the prototypical 2Fe-2S ferredoxin, However, 2Fe-2S proteins are also well-known in bacteria.4 The protein from the cyanobacterium (blue-green alga) Spirulina platensis has been structurally elucidated by x-ray crystallography.47 Putidaredoxin, from Pseudomonas putida, which serves as a donor to the P-450 camphor monooxygenase system, has been extensively studied.28 Fe2S2 centers are also well-established in mammalian proteins. Adrenodoxin29 serves as the electron donor to the P-450 monooxygenase system that carries out the 11-\(\beta\)-hydroxylation of steroids, The so-called "Rieske proteins" are found in the bc1 complex of mitochondria47 as well as in the bd complex of the photosynthetic apparatus of plants.71 In addition, Fe2S2 centers are well-known constituents of such redox proteins as xanthine oxidase,25,72 CO oxidase,25 succinate dehydrogenase,73-75 and putidamonooxin.76 Table 7.1 lists some of the Fe2S2 proteins and their properties.
The x-ray crystal structure of only the single 2Fe-2S protein mentioned above has been determined;70a the 2Fe-2S ferredoxin from the blue-green alga Spirulina platensis6,22,47,77,78 shows significant sequence identity with chloroplast ferredoxins typical of higher plants.79,80 As Figure 7.8 shows, the Fe2S2 unit in this 11-kDa protein is bound by Cys-41, Cys-46, Cys-49, and Cys-79, The binuclear iron cluster is found in a largely hydrophobic region of the protein, but is within 5 Å of the protein surface.6 The sulfur atoms of the cluster, both inorganic and cysteinyl, are hydrogen-bonded to six peptide NH groups and one serine OH group, which presumably stabilize the cluster/protein complex, The serine involved in the H-bonding, Ser-40, is conserved in all plant and algal 2Fe-2S ferredoxins sequenced, which implies that it plays a crucial structural or functional role.
The structure of the 2Fe-2S core in Figure 7.2 reveals a tetrahedron of S ligands surrounding each Fe atom. The two tetrahedra share an edge defined by the two bridging sulfide ions, and the core structure is designated Fe2(\(\mu_{2}\)-S)2. Fe-S distances and angles cannot be measured accurately in the structure at the present 2.5-Å resolution;70a so we will later discuss these details in terms of model compounds.
The Fe2S2 center shows nicely how spectroscopy can be used to deduce the structure of an active site. Indeed, in this case the now well-established active-site structure was deduced by a combination of chemical, spectroscopic, and magnetic methods, and the site was successfully modeled long before the first protein crystallographic study was reported. The presence of acid-labile, inorganic sulfide is a key feature of both the Fe2S2 and the Fe4S4 centers. The 1:1 stoichiometry between iron and acid-labile sulfide was eventually established analytically for Fe2S2 centers.9-11 Care must be taken to ensure that both the protein and its active-site complement are homogeneous. Although protein homogeneity is usually established by electrophoretic methods, these methods may not distinguish between pure proteins and those with absent or incomplete active centers. Fortunately, absorption at 420 nm is due solely to the Fe2S2 cluster, whereas the 275-nm absorption is dominated by the protein. Therefore a good criterion for active-site saturation and homogeneity is the ratio of the absorbances at 420 and 275 nm, A420 nm/A275 nm, which is ~0.48 for pure spinach ferredoxin.81 Once homogeneous protein is obtained, the Fe2S2 composition of the "plant" ferredoxins can be correctly deduced analytically.
The Fe2S2 center displays two redox states that differ by a single electron. The potential range for the couple is -250 to -420 mV, revealing the highly reducing nature of the ferredoxin. The correct structure of the Fe2S2 center was first proposed in 1966 based on EPR studies.82 The reduced state of the cluster shows a rhombic EPR signal with g values of 1.88, 1.94, and 2.04 (Figure 7.6B) characteristic of an S = \(\frac{1}{2}\) center. The oxidized state is EPR-silent. The weakness of the sulfur ligand field causes the iron atoms to be high-spin. But how can two sulfur-ligated iron atoms, each with a tendency to be high-spin, produce a state with a single unpaired electron?
The individual Fe atoms in the Fe2S2 cluster resemble those in rubredoxin quite closely. The two redox states of the Fe2S2 protein correspond to an Fe3+-Fe3+ and an Fe3+-Fe2+ pair, respectively, as shown in Figure 7.9. In the all-ferric oxidized state, the two Fe3+ sites are antiferromagnetically coupled; i.e., the spins of the five d electrons on the two iron atoms are oppositely aligned, such that their pairing produces an effective S = 0, diamagnetic ground state. In the reduced form, a single unpaired electron is present, because the S = \(\frac{5}{2}\) Fe3+ and S = 2 Fe2+ sites are antiferromagnetically coupled, leaving one net unpaired spin and an S = \(\frac{1}{2}\) ground state. The profound difference between the electronic properties of rubredoxin and Fe2S2 ferredoxin arises because the latter has two Fe atoms in close proximity, which allows for their magnetic coupling.
Strong support for the spin-coupling model in Fe2S2 ferredoxins comes from a detailed analysis of their absorption and circular dichroism spectra.83 As with rubredoxin (see Figure 7.5), we expect no low-energy spin-allowed d-d bands for the ferric site in either the oxidized or the reduced state. Indeed, the oxidized state containing all Fe3+ shows no low-energy bands; the reduced state containing a single Fe2+ displays low-energy, low-intensity bands in the region 4,000-9,000 cm-1, in close analogy to the situation in reduced rubredoxin. The combined EPR and optical spectra leave little doubt about the structural assignment: two coupled high-spin ferric ions in the oxidized state, and coupled high-spin ferric and ferrous ions in the reduced state. Moreover, the spectra are consistent only with a localized model, i.e., one in which the Fe(II) site is associated with a single iron.83,83a The Fe2S2 site is inherently asymmetric, and inequivalence of the Fe(llI) sites is spectroscopically detectable in the all-ferric oxidized form.84 In fact, the localized valence trapping is present in reduced model compounds that contain no ligand asymmetry.
Mössbauer spectra provide additional and striking confirmation of the structural assignment. The spectrum of the oxidized ferredoxin (Figure 7.7) resembles strongly that of oxidized rubredoxin, indicating the presence of high-spin Fe3+, even though the net spin is zero. In the reduced form, the Mössbauer spectrum involves the superposition of signals from a high-spin Fe2+ and a high-spin Fe3+, i.e., a reduced and an oxidized rubredoxin, respectively. Clearly, the simplest interpretation of this result consistent with the S = \(\frac{1}{2}\) spin state required by the EPR is the localized Fe2+-Fe3+ antiferromagnetic coupling model discussed above.
NMR studies of oxidized Fe2S2 proteins reveal broad isotropically shifted resonances for the CH2 protons of the cysteine ligands.85 Despite the coupling of the irons, the net magnetism at room temperature is sufficient to lead to large contact shifts (-30 to -40 ppm downfield from TMS). The assignment of the resonance was confirmed with the synthesis and spectroscopic analysis of model compounds.86 Extensive NMR studies of the Fe2S2 proteins have been reported.87,87a
Resonance Raman spectra of Fe2S2 sites88,89,90 reveal many bands attributable to Fe-S stretching. Detailed assignments have been presented for the four bridging and four terminal Fe-S modes. A strong band at 390 cm-1, which shifts on 34S sulfide labeling, is assigned to the A1g "breathing" mode; another band at 275 cm-1 is assigned to B3u symmetry in point group D2h.57,88 Spectroscopic differences in the terminal, Fe-S(Cys) stretches between plant ferredoxins and adrenodoxin (which also differ somewhat in redox potential) seem to reflect different conformations of the cysteine ligands in the two classes. Evidence for asymmetry of the iron atoms is found in the intensity of the resonance enhancement of certain modes.
Rieske Centers
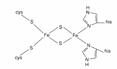
Within the class of Fe2S2 ferredoxins there is a subclass called the Rieske proteins, or the Rieske centers.47,91,92 The Rieske iron-sulfur centers are found in proteins isolated from mitochondria and related redox chains.47,92 In addition, the phthalate dioxygenase system from Pseudomonas cepacia93,94 contains one Fe2S2 Rieske center as well as one additional nonheme Fe atom. Although the Rieske centers appear to contain an Fe2S2 core, there is extensive evidence for nonsulfur ligands coordinated to at least one of the Fe atoms. The proposed model in Scheme (7.3) has two imidazole ligands bound to one Fe atom. The nitrogen atoms are seen in ENDOR (Electron Nuclear Double Resonance) experiments,93 and are manifest in EXAFS spectra, which are consistent with the presence of a low-Z (atomic number) ligand bound to iron.94 The potentials for the Rieske proteins range from +350 to -150 mV,47 in contrast to the plant-type Fe2S2 centers, which range from -250 to -450 mV. The strong dependence of redox potential on pH95 suggests a possible role in coupling protonand electron-transfer processes.
\(\tag{7.3}\)
Fe2S2 Models
Although spectroscopic studies led to the correct deduction of the structure of the Fe2S2 core, the synthesis of model compounds containing this core provided unequivocal confirmation. The model compounds allowed detailed structural analysis unavailable for the proteins. Moreover, by using a uniform set of peripheral ligands, properties inherent to the Fe2S2 core could be discerned.
The Fe2S2 core has been synthesized by several routes86,96,96a,b,c,d (see Figure 7.10). For example, the reaction of Fe(SR)42-, the ferrous rubredoxin model, with elemental sulfur produces the complex Fe2S2(SR)42-. In this reaction the sulfur presumably oxidizes the Fe2+ to Fe3+, being reduced to sulfide in the process. The Fe2S2 core has been prepared with a variety of peripheral S-donor ligands. Metrical details for Fe2S2(SC6H4-p-CH3)42- are given in Table 7.3. Notable distances are the Fe-S (bridging) distance of 2.20 Å, the Fe-S (terminal) distance of 2.31 Å, and the Fe-Fe distance of 2.69 Å.
| Atomsa | Distance Å | Atomsa | Anglea |
|---|---|---|---|
| Fe-Fe | 2.691 (1) | Fe-S-Fe | 75.3 |
| Fe-S1 (bridge) | 2.200 (1) | S-Fe-S | 104.6 |
| Fe-S2 (bridge) | 2.202 (1) | S-Fe-S | 115.1 |
| Fe-S3 | 2.312 (1) | S-Fe-S | 105.4 |
To date, all analogue systems structurally characterized contain the Fe3+-Fe3+ fully oxidized form. Attempts to isolate the Fe3+-Fe2+ form have so far failed. However, the mixed-valence Fe2S2 form can be generated and trapped by freezing for spectroscopic examination.97,98 Mössbauer spectroscopy reveals the presence of distinct Fe2+ and Fe3+ ions, as found in the proteins, clearly showing that "trapped" valence states are an inherent characteristic of the Fe2S22+ core and are not enforced by the protein.97,98
The existence of noncysteine-bound Fe2S2 cores in Rieske-type proteins has led to attempts to synthesize complexes with oxygen and nitrogen ligands.99-101 Characterized species include Fe2S2(OC6H5)42-, Fe2S2(OC6H4-p-CH3)42-, Fe2S2(C4H4N)42-, and Fe2S2(L)22-, where L is a bidentate ligand.
\(\tag{7.4}\)
The potentially tridentate ligand
\(\tag{7.5}\)
acts in a bidentate fashion, binding through S and O but not N.
No Fe2S2 complexes containing mixed S,N terminal ligands, such as those suggested for the Rieske site, have been prepared. The Se2- bridged analogue has been prepared for some of the complexes.102,103

