12.A: Alcohols (Summary)
- Page ID
- 535214
\( \newcommand{\vecs}[1]{\overset { \scriptstyle \rightharpoonup} {\mathbf{#1}} } \)
\( \newcommand{\vecd}[1]{\overset{-\!-\!\rightharpoonup}{\vphantom{a}\smash {#1}}} \)
\( \newcommand{\dsum}{\displaystyle\sum\limits} \)
\( \newcommand{\dint}{\displaystyle\int\limits} \)
\( \newcommand{\dlim}{\displaystyle\lim\limits} \)
\( \newcommand{\id}{\mathrm{id}}\) \( \newcommand{\Span}{\mathrm{span}}\)
( \newcommand{\kernel}{\mathrm{null}\,}\) \( \newcommand{\range}{\mathrm{range}\,}\)
\( \newcommand{\RealPart}{\mathrm{Re}}\) \( \newcommand{\ImaginaryPart}{\mathrm{Im}}\)
\( \newcommand{\Argument}{\mathrm{Arg}}\) \( \newcommand{\norm}[1]{\| #1 \|}\)
\( \newcommand{\inner}[2]{\langle #1, #2 \rangle}\)
\( \newcommand{\Span}{\mathrm{span}}\)
\( \newcommand{\id}{\mathrm{id}}\)
\( \newcommand{\Span}{\mathrm{span}}\)
\( \newcommand{\kernel}{\mathrm{null}\,}\)
\( \newcommand{\range}{\mathrm{range}\,}\)
\( \newcommand{\RealPart}{\mathrm{Re}}\)
\( \newcommand{\ImaginaryPart}{\mathrm{Im}}\)
\( \newcommand{\Argument}{\mathrm{Arg}}\)
\( \newcommand{\norm}[1]{\| #1 \|}\)
\( \newcommand{\inner}[2]{\langle #1, #2 \rangle}\)
\( \newcommand{\Span}{\mathrm{span}}\) \( \newcommand{\AA}{\unicode[.8,0]{x212B}}\)
\( \newcommand{\vectorA}[1]{\vec{#1}} % arrow\)
\( \newcommand{\vectorAt}[1]{\vec{\text{#1}}} % arrow\)
\( \newcommand{\vectorB}[1]{\overset { \scriptstyle \rightharpoonup} {\mathbf{#1}} } \)
\( \newcommand{\vectorC}[1]{\textbf{#1}} \)
\( \newcommand{\vectorD}[1]{\overrightarrow{#1}} \)
\( \newcommand{\vectorDt}[1]{\overrightarrow{\text{#1}}} \)
\( \newcommand{\vectE}[1]{\overset{-\!-\!\rightharpoonup}{\vphantom{a}\smash{\mathbf {#1}}}} \)
\( \newcommand{\vecs}[1]{\overset { \scriptstyle \rightharpoonup} {\mathbf{#1}} } \)
\( \newcommand{\vecd}[1]{\overset{-\!-\!\rightharpoonup}{\vphantom{a}\smash {#1}}} \)
\(\newcommand{\avec}{\mathbf a}\) \(\newcommand{\bvec}{\mathbf b}\) \(\newcommand{\cvec}{\mathbf c}\) \(\newcommand{\dvec}{\mathbf d}\) \(\newcommand{\dtil}{\widetilde{\mathbf d}}\) \(\newcommand{\evec}{\mathbf e}\) \(\newcommand{\fvec}{\mathbf f}\) \(\newcommand{\nvec}{\mathbf n}\) \(\newcommand{\pvec}{\mathbf p}\) \(\newcommand{\qvec}{\mathbf q}\) \(\newcommand{\svec}{\mathbf s}\) \(\newcommand{\tvec}{\mathbf t}\) \(\newcommand{\uvec}{\mathbf u}\) \(\newcommand{\vvec}{\mathbf v}\) \(\newcommand{\wvec}{\mathbf w}\) \(\newcommand{\xvec}{\mathbf x}\) \(\newcommand{\yvec}{\mathbf y}\) \(\newcommand{\zvec}{\mathbf z}\) \(\newcommand{\rvec}{\mathbf r}\) \(\newcommand{\mvec}{\mathbf m}\) \(\newcommand{\zerovec}{\mathbf 0}\) \(\newcommand{\onevec}{\mathbf 1}\) \(\newcommand{\real}{\mathbb R}\) \(\newcommand{\twovec}[2]{\left[\begin{array}{r}#1 \\ #2 \end{array}\right]}\) \(\newcommand{\ctwovec}[2]{\left[\begin{array}{c}#1 \\ #2 \end{array}\right]}\) \(\newcommand{\threevec}[3]{\left[\begin{array}{r}#1 \\ #2 \\ #3 \end{array}\right]}\) \(\newcommand{\cthreevec}[3]{\left[\begin{array}{c}#1 \\ #2 \\ #3 \end{array}\right]}\) \(\newcommand{\fourvec}[4]{\left[\begin{array}{r}#1 \\ #2 \\ #3 \\ #4 \end{array}\right]}\) \(\newcommand{\cfourvec}[4]{\left[\begin{array}{c}#1 \\ #2 \\ #3 \\ #4 \end{array}\right]}\) \(\newcommand{\fivevec}[5]{\left[\begin{array}{r}#1 \\ #2 \\ #3 \\ #4 \\ #5 \\ \end{array}\right]}\) \(\newcommand{\cfivevec}[5]{\left[\begin{array}{c}#1 \\ #2 \\ #3 \\ #4 \\ #5 \\ \end{array}\right]}\) \(\newcommand{\mattwo}[4]{\left[\begin{array}{rr}#1 \amp #2 \\ #3 \amp #4 \\ \end{array}\right]}\) \(\newcommand{\laspan}[1]{\text{Span}\{#1\}}\) \(\newcommand{\bcal}{\cal B}\) \(\newcommand{\ccal}{\cal C}\) \(\newcommand{\scal}{\cal S}\) \(\newcommand{\wcal}{\cal W}\) \(\newcommand{\ecal}{\cal E}\) \(\newcommand{\coords}[2]{\left\{#1\right\}_{#2}}\) \(\newcommand{\gray}[1]{\color{gray}{#1}}\) \(\newcommand{\lgray}[1]{\color{lightgray}{#1}}\) \(\newcommand{\rank}{\operatorname{rank}}\) \(\newcommand{\row}{\text{Row}}\) \(\newcommand{\col}{\text{Col}}\) \(\renewcommand{\row}{\text{Row}}\) \(\newcommand{\nul}{\text{Nul}}\) \(\newcommand{\var}{\text{Var}}\) \(\newcommand{\corr}{\text{corr}}\) \(\newcommand{\len}[1]{\left|#1\right|}\) \(\newcommand{\bbar}{\overline{\bvec}}\) \(\newcommand{\bhat}{\widehat{\bvec}}\) \(\newcommand{\bperp}{\bvec^\perp}\) \(\newcommand{\xhat}{\widehat{\xvec}}\) \(\newcommand{\vhat}{\widehat{\vvec}}\) \(\newcommand{\uhat}{\widehat{\uvec}}\) \(\newcommand{\what}{\widehat{\wvec}}\) \(\newcommand{\Sighat}{\widehat{\Sigma}}\) \(\newcommand{\lt}{<}\) \(\newcommand{\gt}{>}\) \(\newcommand{\amp}{&}\) \(\definecolor{fillinmathshade}{gray}{0.9}\)Concepts & Vocabulary
12.0 Introduction
- Alcohols have hydroxide groups (OH) bonded to an sp3 carbon.
- Enols have a hydroxide bonded to an sp2 carbon that is not part of an aromatic ring, a vinyl carbon.
- Phenols have a hydroxide bonded to an sp2 carbon that is part of an aromatic ring, an aryl carbon.
12.1 Naming Alcohols and Phenols
- Alcohols can be described as methyl, primary, secondary or tertiary, based on the number of alkyl groups attached to the carbon bonded to OH.
- Alcohols are named following IUPAC rules, by dropping the -e of an alkane and replacing with -ol.
12.2 Properties of Alcohols and Phenols
- Alcohols, enols and phenols all have significantly higher boiling points than alkanes, due to hydrogen bonding.
- Small alcohols are soluble in water.
- Alcohols are amphoteric, they act as an acid when reacting with bases and as a base when reacting with acids.
- Phenols are more acidic than alcohols due to resonance delocalization of the negative charge in the phenoxide conjugate base.
- Substituent groups on an aromatic ring that withdraw electron density increase the acidity of phenols, while substituent groups that donate electron density decrease acidity of phenols.
12.3 Preparation of Alcohols: A Review
- Alcohols can be prepared from alkyl halides by reacting with hydroxide.
- Alcohols can be prepared from alkenes by reaction with acid/water or oxymercuration to form the more substituted alcohol.
- Alcohols can be prepared from alkenes by hydroboration/oxidation to form the less substituted alcohol.
- Diols can be prepared from alkenes by first forming an epoxide, then ring opening the epoxide to form an anti-diol.
- Diols can be prepared from alkenes by reacting with osmium tetraoxide, then reducing off the osmium to form syn-diols.
12.4 Alcohols from Carbonyl Compounds: Reduction
- Organic reduction can be defined by increasing the number of bonds to hydrogen.
- Aldehydes and ketones can be reduced to alcohols with several different hydride donor reagents.
- NADH is an example of a biological reducing agent, which donates a hydride to carbonyl groups, reducing them to an alcohol.
- Carboxylic acids and esters can be reduced to alcohols with a strong reducing agent such as lithium aluminum hydride LiAlH4.
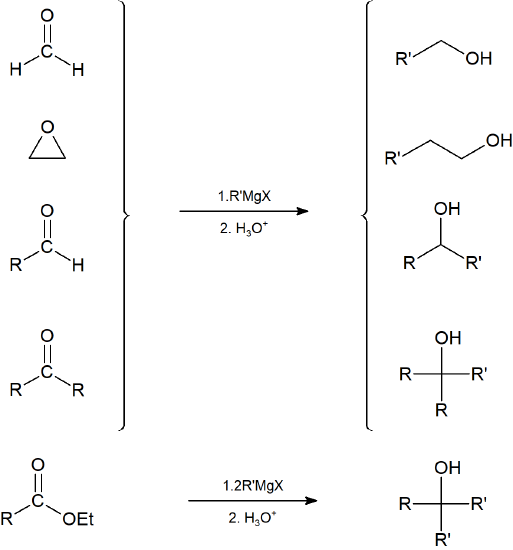
12.5 Alcohols from Carbonyl Compounds: Grignard Reaction
- One of the most important organometallic groups of molecules are Grignard reagents, which are alkyl magnesium halides.
- Grignard reagents, like other organometallic compounds, include a nucleophilic alkyl group that can react with many different electrophiles.
- Grignard reagents will add to aldehydes and ketones forming alcohol products.
- Grignard reagents will add twice to ester molecules, forming alcohol products.
- Grignard reagents are strong bases, therefore the will not undergo nucleophilic addition reactions with molecules that have protons that are even slightly acidic such as: alcohols, carboxylic acids, alkynes, and amines or amides that have an N-H bond.
12.6 Reactions of Alcohols
- Alcohols can be converted into alkyl halides directly by reaction with strong hydrogen halides. This works best for 3o alcohols.
- Conversion of 1o and 2o alcohols into alkyl halides commonly use thionyl chloride (SOCl2) or phosphorus tribromide (PBr3).
- To activate an alcohol in order to make the hydroxide a good leaving group, tosylates (toluenesulfonates) and mesylates (methanesulfonates) can be formed.
- Alcohols can be dehydrated by heating in strong acid solution to form an alkene.
- Alcohols react with acid chlorides to form esters.
12.7 Oxidation of Alcohols
- Primary and secondary alcohols can be oxidized with various chromium reagents, while tertiary alcohols are not.
- Secondary alcohols are oxidized to ketones.
- Primary alcohols are oxidized to carboxylic acids using chromium trioxide or dichromate compounds.
- Primary alcohols can be stopped in their oxidation at aldehydes by reacting with pyridinium chlorochromate or Dess-Martin periodinane.
12.8 Protection of Alcohols
- Protection of a functional group is useful when that functional group may interfere with an intended reaction.
- Protection converts a functional group into a non-interfering derivative molecule through a reaction that can be easily reversed to remove the protecting group.
- Protection consists of a series of reactions that include protect, perform intended reactions, and deprotect.
- Alcohols can be protected as silyl ethers by reacting with chlorotrialkyl silanes.
12.9 Phenols and Their Uses
- Phenols can be prepared from chlorobenzene or isopropylbenzene.
- Phenol and phenol derivatives (such as resorcinol) are used as germicides and antiseptics.
- Bisphenol A (BPA) has controversially been used to create polycarbonate plastics such as water bottles.
12.10 Reactions of Phenols
- Phenols can react with strong electrophiles (such as in Friedel-Crafts reactions).
- Phenols react with strong oxidizing agents including Jones reagent or silver oxide to form quinones.
12.11 Spectroscopy of Alcohols and Phenols
- Alcohols are among the most identifiable functional groups in infrared spectroscopy due to the strong, wide absorbance around 3400 cm-1.
- Alcohol peaks are much more difficult to recognize in 1H NMR, since OH hydrogens are relatively reactive and can exchange with hydrogens from the solvent, they are often weak absorptions without strong, sharp peaks.
- Hydroxide protons are not split in 1H NMR.
- Loss of hydroxide in mass spectroscopy can lead to loss of a fragment with 17 m/z.
Skills to Master
- Skill 12.1 Identify types of alcohols.
- Skill 12.2 Name molecules with hydroxide groups using IUPAC rules.
- Skill 12.3 Describe properties related to intermolecular forces (including hydrogen bonding).
- Skill 12.4 Explain acid-base properties of alcohols and phenols.
- Skill 12.5 Describe how additional functional groups affect the acidity of phenols.
- Skill 12.6 Draw mechanisms to form alcohols from alkyl halides.
- Skill 12.7 Draw mechanisms to form alcohols from alkenes.
- Skill 12.8 Draw mechanisms to form alcohols by reduction reactions.
- Skill 12.9 Draw mechanisms to form alcohols by reaction of carbonyl compounds with Grignard reagents (and other organometallics).
- Skill 12.10 Draw mechanisms for conversion of alcohols to alkyl halides.
- Skill 12.11 Draw mechanisms for conversion of alcohols to tosylates.
- Skill 12.12 Draw mechanisms for dehydration of alcohols to alkenes.
- Skill 12.13 Draw mechanisms for conversion of alcohols to esters.
- Skill 12.14 Draw mechanisms for oxidation of alcohols to aldehydes, ketones, and carboxylic acids.
- Skill 12.15 Write out syntheses that incorporate protection and deprotection of alcohols.
Summary of Reactions
Alcohol Preparation (Hydrolysis)


Alcohol Preparation (Reducing the Carbonyl)

Alcohol Preparation (Grignard Additions)

Alcohol Preparation (from Organohalide)

Alcohol Reactions

Phenol Preparation



