2.11: Peptide Hydrolysis
- Page ID
- 59726
\( \newcommand{\vecs}[1]{\overset { \scriptstyle \rightharpoonup} {\mathbf{#1}} } \)
\( \newcommand{\vecd}[1]{\overset{-\!-\!\rightharpoonup}{\vphantom{a}\smash {#1}}} \)
\( \newcommand{\dsum}{\displaystyle\sum\limits} \)
\( \newcommand{\dint}{\displaystyle\int\limits} \)
\( \newcommand{\dlim}{\displaystyle\lim\limits} \)
\( \newcommand{\id}{\mathrm{id}}\) \( \newcommand{\Span}{\mathrm{span}}\)
( \newcommand{\kernel}{\mathrm{null}\,}\) \( \newcommand{\range}{\mathrm{range}\,}\)
\( \newcommand{\RealPart}{\mathrm{Re}}\) \( \newcommand{\ImaginaryPart}{\mathrm{Im}}\)
\( \newcommand{\Argument}{\mathrm{Arg}}\) \( \newcommand{\norm}[1]{\| #1 \|}\)
\( \newcommand{\inner}[2]{\langle #1, #2 \rangle}\)
\( \newcommand{\Span}{\mathrm{span}}\)
\( \newcommand{\id}{\mathrm{id}}\)
\( \newcommand{\Span}{\mathrm{span}}\)
\( \newcommand{\kernel}{\mathrm{null}\,}\)
\( \newcommand{\range}{\mathrm{range}\,}\)
\( \newcommand{\RealPart}{\mathrm{Re}}\)
\( \newcommand{\ImaginaryPart}{\mathrm{Im}}\)
\( \newcommand{\Argument}{\mathrm{Arg}}\)
\( \newcommand{\norm}[1]{\| #1 \|}\)
\( \newcommand{\inner}[2]{\langle #1, #2 \rangle}\)
\( \newcommand{\Span}{\mathrm{span}}\) \( \newcommand{\AA}{\unicode[.8,0]{x212B}}\)
\( \newcommand{\vectorA}[1]{\vec{#1}} % arrow\)
\( \newcommand{\vectorAt}[1]{\vec{\text{#1}}} % arrow\)
\( \newcommand{\vectorB}[1]{\overset { \scriptstyle \rightharpoonup} {\mathbf{#1}} } \)
\( \newcommand{\vectorC}[1]{\textbf{#1}} \)
\( \newcommand{\vectorD}[1]{\overrightarrow{#1}} \)
\( \newcommand{\vectorDt}[1]{\overrightarrow{\text{#1}}} \)
\( \newcommand{\vectE}[1]{\overset{-\!-\!\rightharpoonup}{\vphantom{a}\smash{\mathbf {#1}}}} \)
\( \newcommand{\vecs}[1]{\overset { \scriptstyle \rightharpoonup} {\mathbf{#1}} } \)
\(\newcommand{\longvect}{\overrightarrow}\)
\( \newcommand{\vecd}[1]{\overset{-\!-\!\rightharpoonup}{\vphantom{a}\smash {#1}}} \)
\(\newcommand{\avec}{\mathbf a}\) \(\newcommand{\bvec}{\mathbf b}\) \(\newcommand{\cvec}{\mathbf c}\) \(\newcommand{\dvec}{\mathbf d}\) \(\newcommand{\dtil}{\widetilde{\mathbf d}}\) \(\newcommand{\evec}{\mathbf e}\) \(\newcommand{\fvec}{\mathbf f}\) \(\newcommand{\nvec}{\mathbf n}\) \(\newcommand{\pvec}{\mathbf p}\) \(\newcommand{\qvec}{\mathbf q}\) \(\newcommand{\svec}{\mathbf s}\) \(\newcommand{\tvec}{\mathbf t}\) \(\newcommand{\uvec}{\mathbf u}\) \(\newcommand{\vvec}{\mathbf v}\) \(\newcommand{\wvec}{\mathbf w}\) \(\newcommand{\xvec}{\mathbf x}\) \(\newcommand{\yvec}{\mathbf y}\) \(\newcommand{\zvec}{\mathbf z}\) \(\newcommand{\rvec}{\mathbf r}\) \(\newcommand{\mvec}{\mathbf m}\) \(\newcommand{\zerovec}{\mathbf 0}\) \(\newcommand{\onevec}{\mathbf 1}\) \(\newcommand{\real}{\mathbb R}\) \(\newcommand{\twovec}[2]{\left[\begin{array}{r}#1 \\ #2 \end{array}\right]}\) \(\newcommand{\ctwovec}[2]{\left[\begin{array}{c}#1 \\ #2 \end{array}\right]}\) \(\newcommand{\threevec}[3]{\left[\begin{array}{r}#1 \\ #2 \\ #3 \end{array}\right]}\) \(\newcommand{\cthreevec}[3]{\left[\begin{array}{c}#1 \\ #2 \\ #3 \end{array}\right]}\) \(\newcommand{\fourvec}[4]{\left[\begin{array}{r}#1 \\ #2 \\ #3 \\ #4 \end{array}\right]}\) \(\newcommand{\cfourvec}[4]{\left[\begin{array}{c}#1 \\ #2 \\ #3 \\ #4 \end{array}\right]}\) \(\newcommand{\fivevec}[5]{\left[\begin{array}{r}#1 \\ #2 \\ #3 \\ #4 \\ #5 \\ \end{array}\right]}\) \(\newcommand{\cfivevec}[5]{\left[\begin{array}{c}#1 \\ #2 \\ #3 \\ #4 \\ #5 \\ \end{array}\right]}\) \(\newcommand{\mattwo}[4]{\left[\begin{array}{rr}#1 \amp #2 \\ #3 \amp #4 \\ \end{array}\right]}\) \(\newcommand{\laspan}[1]{\text{Span}\{#1\}}\) \(\newcommand{\bcal}{\cal B}\) \(\newcommand{\ccal}{\cal C}\) \(\newcommand{\scal}{\cal S}\) \(\newcommand{\wcal}{\cal W}\) \(\newcommand{\ecal}{\cal E}\) \(\newcommand{\coords}[2]{\left\{#1\right\}_{#2}}\) \(\newcommand{\gray}[1]{\color{gray}{#1}}\) \(\newcommand{\lgray}[1]{\color{lightgray}{#1}}\) \(\newcommand{\rank}{\operatorname{rank}}\) \(\newcommand{\row}{\text{Row}}\) \(\newcommand{\col}{\text{Col}}\) \(\renewcommand{\row}{\text{Row}}\) \(\newcommand{\nul}{\text{Nul}}\) \(\newcommand{\var}{\text{Var}}\) \(\newcommand{\corr}{\text{corr}}\) \(\newcommand{\len}[1]{\left|#1\right|}\) \(\newcommand{\bbar}{\overline{\bvec}}\) \(\newcommand{\bhat}{\widehat{\bvec}}\) \(\newcommand{\bperp}{\bvec^\perp}\) \(\newcommand{\xhat}{\widehat{\xvec}}\) \(\newcommand{\vhat}{\widehat{\vvec}}\) \(\newcommand{\uhat}{\widehat{\uvec}}\) \(\newcommand{\what}{\widehat{\wvec}}\) \(\newcommand{\Sighat}{\widehat{\Sigma}}\) \(\newcommand{\lt}{<}\) \(\newcommand{\gt}{>}\) \(\newcommand{\amp}{&}\) \(\definecolor{fillinmathshade}{gray}{0.9}\)At neutral pH the uncatalyzed hydrolysis of amides or peptides
\[R-CO-NH-R' + H_{2}O \rightleftharpoons R-COO^{-}+R'-NH_{3}^{+} \tag{2.18}\]
is a slow process, with rate constants as low as 10-11s-1. Peptide hydrolysis catalyzed by carboxypeptidase or thermolysin can attain kcat values of 104 s-1. Organic chemistry teaches us that amide hydrolysis is relatively efficiently catalyzed by acids and bases. The general mechanisms involve protonation of the carbonyl oxygen (or amide nitrogen), and addition of OH- (or of a general nucleophile) to the carbonyl carbon atom. Several organic and inorganic bases have been found to be reasonably efficient catalysts. On the other hand, transition metal aqua-ions or small metal-ion complexes also display catalytic efficiency (Table 2.8).107-114 A metal ion is a Lewis acid, capable of effectively polarizing the carbonyl bond by metal-oxygen coordination. Furthermore, the metal ion can coordinate a hydroxide group in such a way that there is a high OH- concentration at neutral or slightly alkaline pH. It is thus conceivable that a metalloenzyme may combine some or all of these features and provide a very efficient catalyst.
| Compound | Catalyst and Conditions | Rate Constant | Reference |
|---|---|---|---|
| Glycine amide |
pH 9.35 Cu2+, pH 9.35 |
1.9 x 10-5 s-1 2.6 x 10-3 M-1s -1 |
107 107 |
| [Co(en)2(glycine amide)]3+ | pH 9.0a | 2.6 x 10-4 s-1 | 108 |
| D,L-phenylalanine ethylester |
pH 7.3 Cu2+, pH 7.3 |
5.8 x 10-9 s-1 3.4 x 10-2 M-1s-1 |
109 109 |
| (tn)2O3PO—C6H4NO2 | OH- | 5.1 M-1s-1 | 110 |
| CoIII—(tn)2O3PO—C6H4NO2 | —a | 7 x 10-5 s-1 | 110 |
| Ethyl-\(\beta\)-phenylpropionate |
H+ OH- |
5 x 10-3 M-1 s--1 1.3 x 10- 6 M-1s-1 |
111 111 |
| Adenosine triphosphate |
pH 5.3 Cu2+, pH 5.3 |
5.6 x 10-6 s-1 1.1 x 10-2 M-1s-1 |
112 112 |
| Glycine methylester |
Co2+(1:1), pH 7.9 Cu2+(1:1), pH 7.3 |
1.6 x 10-2 s-1 4.2 x 10- 2 s-1 |
113 113 |
| Glycine propylester |
Co3+(1:1), pH 0 Co3+(1:1), pH 8.5 |
1.1 x 10-3 s-1 >1 x 10-2 s-1 |
114 114 |
Much experimental work has been done on mimicking ester and especially peptide hydrolysis with model coordination compounds. Most of the work carried out has involved108,110,115,116 cobalt(III), Although such an ion may not be the best conceivable model for zinc-promoted hydrolytic reactions (see Section IV.G), it has the great advantage of being substitutionally inert, thus removing mechanistic ambiguities due to equilibration among isomeric structures in the course of the reaction, Interesting amide hydrolysis reactions also have been described using complexes with other metal ions, such as copper(Il)117 and zinc(Il)118 itself. In recent years efforts have focused on the construction of bifunctional catalysts to better mimic or test the enzymatic function. For instance, phenolic and carboxylic groups can be placed within reach of Co(III)-chelated amides in peptidase models.116 The presence of the phenolic group clearly accelerates amide hydrolysis, but carboxyl groups are ineffective. This model chemistry is too simple to provide insights into the actual enzymatic mechanism, which must start with recognizing the substrate through several steps, orienting it, activating it, performing the reaction, and finally releasing the products. See the more specialized reviews dealing with nonenzymatic reactivity.119-121
From basic knowledge of the chemistry of hydrolytic reactions, the x-ray structures of carboxypeptidase A and a variety of its derivatives with inhibitors as substrate analogues, product analogues, and transition-state analogues have revealed several features of the active site that are potentially relevant for the catalytic mechanism (Figures 2.26-2.28 See color plate section, pages C4, C5.).122 The metal ion is coordinated to two histidine residues (His-69 and His-196), to a glutamate residue that acts as a bidentate ligand (Glu-72), and to a water molecule. The metal is thus solvent-accessible and, as such, can activate the deprotonation of a water molecule to form a hydroxide ion, or polarize the carbonyl oxygen of the substrate by coordinating it in the place of the solvent molecule, or both, if some flexibility of the coordination sphere is allowed. Another glutamic-acid residue (Glu-270) is in close proximity to the metal center. If the role of the metal were mainly to polarize the carbonyl carbon, Glu-270 in its deprotonated form could be positioned to perform a nucleophilic attack on the carbonyl carbon, yielding an anhydride intermediate. Alternatively, the metal could mainly serve to provide a coordinated hydroxide ion that, in turn, could attack the carbonyl carbon; here Glu-270 would help form ZnOH by transferring the proton to the carboxylate group:
On the opposite side of the cavity is a tyrosine residue that has been shown to be quite mobile and therefore able to approach the site where the catalytic events occur. The cavity has a hydrophobic pocket that can accommodate the residue, R, of nonpolar C-terminal amino acids of the peptide undergoing hydrolysis (Figures 2.26 and 2.28), thereby accounting for the higher efficiency with which hydrophobic C-terminal peptides are cleaved. Finally, an Asn and three Arg residues are distributed in the peptide-binding domain; Asn-144 and Arg-145 can interact via hydrogen bonds with the terminal carboxyl group. Arg-127 can hydrogen-bond the carbonyl oxygen of the substrate.
All these features have enabled detailed interpretation of many chemical and physico-chemical data at the molecular level. The essential data are as follows:
- Metal substitution. Table 2.9 lists the divalent metals that have been substituted for zinc(II) in CPA, together with their relative peptidase (and esterase) activities.22 For some of them, the available x-ray data show123 that the active-site structure is essentially maintained. Even the copper derivative is slightly active. The apoenzyme is completely inactive, however.
| Peptidase | Esterase | |
|---|---|---|
| Apo | 0 | 0 |
| Cobalt | 200 | 110 |
| Nickel | 50 | 40 |
| Manganese | 30 | 160 |
| Cadmium | 5 | 140 |
| Mercury | 0 | 90 |
| Rhodium | 0 | 70 |
| Lead | 0 | 60 |
| Copper | —b | —b |
- Active-site modifications. Chemical modification and site-directed mutagenesis experiments suggest that Glu-270 is essential for catalysis.124,125 Tyr-248,126 Tyr-198,127 and one or more of the arginines124 are involved but not essential.
- Kinetics. kcat/Km pH profiles are bell-shaped, characterized by an acid pKa, limb around 6 and an alkaline pKa limb around 9: kcat increases with the pKa of 6 and then levels off, and Km increases with a pKa of 9. Several lines of evidence suggest that the pKa \(\approx\) 6 corresponds to the ionization of the Glu-270-coordinated H2O moiety:
\(\tag{2.19}\)
Site-directed mutagenesis has ruled out Tyr-248 as the group with the pKa of 9 in the rat enzyme.125,126 Unfortunately, in this enzyme the pKa of 9 is observed in kcat rather than Km; so the situation for the most studied bovine enzyme is still unclear. Tyr-248 favors substrate binding three to five times more than the mutagenized Phe-248 derivative.126 The three possible candidates for this pKa, are the coordinated water, Tyr-248, and the metal-coordinated His-196, whose ring NH is not hydrogen-bonded to any protein residue.128 The x-ray data at different pH values show a shortening of the Zn—O bond upon increasing pH.129 This favors the ZnOH hypothesis.
- Anion binding. The metal binds anionic ligands only below pH 6, i.e., when Glu-270 is protonated, when Glu-270 is chemically130 or genetically125 modified, or when aromatic amino acids or related molecules are bound in the C-terminal binding domain (Arg-145 + hydrophobic pocket).131-134
- Intermediates. An anhydride intermediate involving Glu-270 for a slowly hydrolyzed substrate may have been identified.135 Some other intermediates have been observed spectroscopically at subzero temperatures with the cobalt(II) derivative.22,136 Peptides bind in a fast step without altering the spectroscopic properties of cobalt(II), following which a metal adduct forms and accumulates.22 Thus, if an anhydride intermediate is formed, it is further along the catalytic path.
On the basis of these data, and many related experiments, a detailed mechanism can be formulated (Figure 2.29). The incoming peptide interacts with arginine residues through its terminal carboxylate group. The interaction could initially involve Arg-71 (not shown); then the peptide would smoothly slide to its final docking position at Arg-145, while the R residue, if hydrophobic, moves to the hydrophobic pocket (Figure 2.29B). The carbonyl oxygen forms a strong hydrogen bond with Arg-127. Additional stabilization could come from hydrogen bonding of Tyr-248 to the penultimate peptide NH. This adduct might be the first intermediate suggested by cryospectroscopy 22,136 (Figure 2.24).
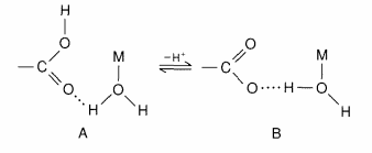
At this point the metal-bound hydroxide, whose formation is assisted by Glu-270, could perform a nucleophilic attack on the carbonyl carbon activated by Arg-127 and possibly, but not necessarily, by a further electrostatic interaction of the carbonyl oxygen with the metal ion. The structure of the substrate analogue \(\alpha\)-R-\(\beta\)-phenylpropionate shows that the carbonyl binds in a bidentate fashion:
The system then evolves toward breaking of the C—N bond, caused by addition of a proton to the amino nitrogen. This proton could come from Glu-270, which thereby returns to the ionized state. The breaking of the peptide bond could be the rate-limiting step.22 The second proton required to transform the amino nitrogen into an NH3+ group could come from the coordinated carboxylic group of the substrate, which now bears one excess proton, again through Glu-270 (Figure 2.29D). The system shown in Figure 2.29D can, in fact, be seen as a ternary complex with a carboxylate ligand and an amino-acid zwitterion, bound synergistically.131-134 Finally, the metal moves back to regain a bidentate Glu-72 ligand, and the cleaved peptide leaves, while a further water molecule adds to the metal ion and shares its proton with the free carboxylate group of Glu-270.
Once the hydrolysis has been performed, the cleaved amino acid still interacts with Arg-145 and with the hydrophobic pocket, whereas the amino group interacts with Glu-270. The carboxylate group of the new terminal amino acid interacts with zinc. This picture, which is a reasonable subsequent step in the catalytic mechanism, finds support from the interaction of L- and D-phenylalanine with carboxypeptidase.131-134,138
This mechanism, essentially based on the recent proposal by Christianson and Lipscomb,137 underlines the role of the Zn—OH moiety in performing the nucleophilic attack much as carbonic anhydrase does. This mechanism can apply with slight changes to thermolysin139 and other proteases. Thermolysin cleaves peptidic bonds somewhere in the peptidic chain. The mechanism could be very similar, involving zinc bound to two histidines and Glu-166 (Figure 2.31).139 Glu-166 is monodentate. The role of Glu-270 in CPA is played by Glu-143 and the role of Arg-127 is played by His-231.

