2.7: Group Transfer and Vitamin B-12
- Page ID
- 59778
\( \newcommand{\vecs}[1]{\overset { \scriptstyle \rightharpoonup} {\mathbf{#1}} } \)
\( \newcommand{\vecd}[1]{\overset{-\!-\!\rightharpoonup}{\vphantom{a}\smash {#1}}} \)
\( \newcommand{\dsum}{\displaystyle\sum\limits} \)
\( \newcommand{\dint}{\displaystyle\int\limits} \)
\( \newcommand{\dlim}{\displaystyle\lim\limits} \)
\( \newcommand{\id}{\mathrm{id}}\) \( \newcommand{\Span}{\mathrm{span}}\)
( \newcommand{\kernel}{\mathrm{null}\,}\) \( \newcommand{\range}{\mathrm{range}\,}\)
\( \newcommand{\RealPart}{\mathrm{Re}}\) \( \newcommand{\ImaginaryPart}{\mathrm{Im}}\)
\( \newcommand{\Argument}{\mathrm{Arg}}\) \( \newcommand{\norm}[1]{\| #1 \|}\)
\( \newcommand{\inner}[2]{\langle #1, #2 \rangle}\)
\( \newcommand{\Span}{\mathrm{span}}\)
\( \newcommand{\id}{\mathrm{id}}\)
\( \newcommand{\Span}{\mathrm{span}}\)
\( \newcommand{\kernel}{\mathrm{null}\,}\)
\( \newcommand{\range}{\mathrm{range}\,}\)
\( \newcommand{\RealPart}{\mathrm{Re}}\)
\( \newcommand{\ImaginaryPart}{\mathrm{Im}}\)
\( \newcommand{\Argument}{\mathrm{Arg}}\)
\( \newcommand{\norm}[1]{\| #1 \|}\)
\( \newcommand{\inner}[2]{\langle #1, #2 \rangle}\)
\( \newcommand{\Span}{\mathrm{span}}\) \( \newcommand{\AA}{\unicode[.8,0]{x212B}}\)
\( \newcommand{\vectorA}[1]{\vec{#1}} % arrow\)
\( \newcommand{\vectorAt}[1]{\vec{\text{#1}}} % arrow\)
\( \newcommand{\vectorB}[1]{\overset { \scriptstyle \rightharpoonup} {\mathbf{#1}} } \)
\( \newcommand{\vectorC}[1]{\textbf{#1}} \)
\( \newcommand{\vectorD}[1]{\overrightarrow{#1}} \)
\( \newcommand{\vectorDt}[1]{\overrightarrow{\text{#1}}} \)
\( \newcommand{\vectE}[1]{\overset{-\!-\!\rightharpoonup}{\vphantom{a}\smash{\mathbf {#1}}}} \)
\( \newcommand{\vecs}[1]{\overset { \scriptstyle \rightharpoonup} {\mathbf{#1}} } \)
\(\newcommand{\longvect}{\overrightarrow}\)
\( \newcommand{\vecd}[1]{\overset{-\!-\!\rightharpoonup}{\vphantom{a}\smash {#1}}} \)
\(\newcommand{\avec}{\mathbf a}\) \(\newcommand{\bvec}{\mathbf b}\) \(\newcommand{\cvec}{\mathbf c}\) \(\newcommand{\dvec}{\mathbf d}\) \(\newcommand{\dtil}{\widetilde{\mathbf d}}\) \(\newcommand{\evec}{\mathbf e}\) \(\newcommand{\fvec}{\mathbf f}\) \(\newcommand{\nvec}{\mathbf n}\) \(\newcommand{\pvec}{\mathbf p}\) \(\newcommand{\qvec}{\mathbf q}\) \(\newcommand{\svec}{\mathbf s}\) \(\newcommand{\tvec}{\mathbf t}\) \(\newcommand{\uvec}{\mathbf u}\) \(\newcommand{\vvec}{\mathbf v}\) \(\newcommand{\wvec}{\mathbf w}\) \(\newcommand{\xvec}{\mathbf x}\) \(\newcommand{\yvec}{\mathbf y}\) \(\newcommand{\zvec}{\mathbf z}\) \(\newcommand{\rvec}{\mathbf r}\) \(\newcommand{\mvec}{\mathbf m}\) \(\newcommand{\zerovec}{\mathbf 0}\) \(\newcommand{\onevec}{\mathbf 1}\) \(\newcommand{\real}{\mathbb R}\) \(\newcommand{\twovec}[2]{\left[\begin{array}{r}#1 \\ #2 \end{array}\right]}\) \(\newcommand{\ctwovec}[2]{\left[\begin{array}{c}#1 \\ #2 \end{array}\right]}\) \(\newcommand{\threevec}[3]{\left[\begin{array}{r}#1 \\ #2 \\ #3 \end{array}\right]}\) \(\newcommand{\cthreevec}[3]{\left[\begin{array}{c}#1 \\ #2 \\ #3 \end{array}\right]}\) \(\newcommand{\fourvec}[4]{\left[\begin{array}{r}#1 \\ #2 \\ #3 \\ #4 \end{array}\right]}\) \(\newcommand{\cfourvec}[4]{\left[\begin{array}{c}#1 \\ #2 \\ #3 \\ #4 \end{array}\right]}\) \(\newcommand{\fivevec}[5]{\left[\begin{array}{r}#1 \\ #2 \\ #3 \\ #4 \\ #5 \\ \end{array}\right]}\) \(\newcommand{\cfivevec}[5]{\left[\begin{array}{c}#1 \\ #2 \\ #3 \\ #4 \\ #5 \\ \end{array}\right]}\) \(\newcommand{\mattwo}[4]{\left[\begin{array}{rr}#1 \amp #2 \\ #3 \amp #4 \\ \end{array}\right]}\) \(\newcommand{\laspan}[1]{\text{Span}\{#1\}}\) \(\newcommand{\bcal}{\cal B}\) \(\newcommand{\ccal}{\cal C}\) \(\newcommand{\scal}{\cal S}\) \(\newcommand{\wcal}{\cal W}\) \(\newcommand{\ecal}{\cal E}\) \(\newcommand{\coords}[2]{\left\{#1\right\}_{#2}}\) \(\newcommand{\gray}[1]{\color{gray}{#1}}\) \(\newcommand{\lgray}[1]{\color{lightgray}{#1}}\) \(\newcommand{\rank}{\operatorname{rank}}\) \(\newcommand{\row}{\text{Row}}\) \(\newcommand{\col}{\text{Col}}\) \(\renewcommand{\row}{\text{Row}}\) \(\newcommand{\nul}{\text{Nul}}\) \(\newcommand{\var}{\text{Var}}\) \(\newcommand{\corr}{\text{corr}}\) \(\newcommand{\len}[1]{\left|#1\right|}\) \(\newcommand{\bbar}{\overline{\bvec}}\) \(\newcommand{\bhat}{\widehat{\bvec}}\) \(\newcommand{\bperp}{\bvec^\perp}\) \(\newcommand{\xhat}{\widehat{\xvec}}\) \(\newcommand{\vhat}{\widehat{\vvec}}\) \(\newcommand{\uhat}{\widehat{\uvec}}\) \(\newcommand{\what}{\widehat{\wvec}}\) \(\newcommand{\Sighat}{\widehat{\Sigma}}\) \(\newcommand{\lt}{<}\) \(\newcommand{\gt}{>}\) \(\newcommand{\amp}{&}\) \(\definecolor{fillinmathshade}{gray}{0.9}\)Group Transfer Enzymes
The phosphodiester bond in ATP and in related molecules is a high-energy bond whose hydrolysis liberates a large quantity of energy:
\[ATP + H_{2}O \rightleftharpoons ADP + P_{i} + 30-50\; kJ\; mol^{-1} \tag{2.25}\]
In many systems, typically the ATPases, the terminal phosphoryl group is transferred to another acidic group of the enzyme, e.g., a carboxylate group, to form another high-energy bond whose energy of hydrolysis is needed later for some endoenergetic transformation. Therefore the first step of the reaction is the phosphoryl transfer to a group of the enzyme.
Kinases, a subset of the class of transferases, constitute a large group of enzymes that phosphorylate organic substrates:
\[ATP_{4-} + HX \rightleftharpoons ADP^{3-} + PX^{2-} + H^{+} \tag{2.26}\]
In some kinases, such as nucleoside diphosphate kinase,168,169 an intermediate step is the phosphoryl transfer to a group belonging to the enzyme, as happens in ATPase and as was discussed in detail for alkaline phosphatase (Section V.B). In other kinases the phosphoryl transfer occurs directly from the donor to the acceptor in a ternary complex of the enzyme with the two substrates.170 Often metal ions like magnesium or manganese are needed. These ions interact with the terminal oxygen of the ATP molecule, thus facilitating the nucleophilic attack by the acceptor. The metal ion is often associated with the enzyme. For mechanistic schemes, see the proposed mechanism of action of alkaline phosphatase, especially when a phosphoryl enzyme intermediate is involved.
The B12-dependent Enzymes
There are many enzymes that need a cobalt complex as cofactor in order to carry out vicinal 1,2 interchange:
\(\tag{2.27}\)
or
\(\tag{2.28}\)
For the former type of reactions, X can be a group containing either C or N. Typical reactions171 include insertion of a secondary methyl group into a main chain
\(\tag{2.29}\)
isomerization of an amino group from a primary to a secondary carbon
\(\tag{2.30}\)
and deamination reactions
\(\tag{2.31}\)
A list of coenzyme-B12-dependent enzymes is given in Table 2.10.
Table 2.10 - Some coenzyme-B12-dependent enzymes.
| MethylmalonylCoA mutase |
| Glutamate mutase |
| \(\alpha\)-Methylene-glutarate mutase |
| Dioldehydrase |
| Glyceroldehydrase |
| Ethanoldeaminase |
| L-\(\beta\)-lysine mutase |
| D-\(\alpha\)-Iysine mutase |
| Ribonucleotide reductase |
| Methionine synthetase |
| Methane synthetase |
| Methyl transferase |
| Acetate synthetase |
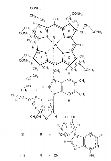
In coenzyme-B12, cobalt is bound to a tetraazamacrocyclic ligand172 (Figure 2.40). The cobalt atom lies approximately in the plane of the corrin ligand (shown in bold). Note that rings A and D are directly linked. The conjugation therefore extends over only 13 atoms, excluding the cobalt, and involves 14 \(\pi\) electrons. Complexes that possess the \(\alpha\)-D-ribofuranose-3-phosphate and the terminal 5,6-dimethylbenzimidazole as an axial ligand are called cobalamins. The name cobamides applies to complexes that lack or have different heterocyclic groups. Finally, the upper or \(\beta\) position is occupied by another ligand, which may be water, OH-, CN-, an alkyl group, etc. The cyano derivative (ii) is vitamin B12. 5'-deoxyadenosylcobalamin (i) is called coenzyme B12. The cobalt atom in these complexes is a diamagnetic cobalt(III) system (d6).
The aquo complex has a pKa of 7.8, which compares with that of 5.7 for the aquopentaamminecobalt(III) complex at 298 K.173 The difference has been mainly ascribed to the difference in solvation of the two complexes, although the corrin ligand bears a negative charge, which reduces the positive charge and therefore the Lewis acidity of the metal ion. The standard reduction potential between pH 2.9 and 7.8 is -0.04 V vs. SCE, featuring the conversion from aquocobalamin with bound benzimidazole (base on) to base-on cob(II)alamin.174 The potential decreases with pH above pH 7.8 down to -0.3 V. The reduced form is five-coordinate, without the water molecule above pH 2.9, and lowspin.175,176 The system can be further reduced at a potential of -0.85 V to obtain cob(I)alamin, in which the metal ion is four-coordinate and low-spin (d8). The standard reduction potential for the hexaaquocobalt(III) complex is 1.95 V, which is lowered to 0.10 for the hexaammine complex, to -0.13 for the tris-ethylenediamine complex, and to -0.80 for the hexacyanocobaltate(III) ion.173 After reduction to cobalt(II), the model complexes are reduced to the metal.
The electronic spectrum of the metal-free corrin resembles that of metal derivatives; it seems therefore that the bands are essentially \(\pi\)-\(\pi\)* transitions modified by the central atom and by the axial ligands.177,178 The cob(III)alamins are red, whereas the cob(II)alamins, which are brown, show an additional band at 600 nm.179 The latter have an EPR spectrum typical of an unpaired electron in the dz2 orbital with some 4s mixing: the cob(II)alamin at pH 7 has g\(\parallel\) = 2.004, g\(\perp\) = 2.32, A\(\parallel\)(Co) = 0.0100, A\(\perp\) (Co) = 0.0027 cm-1, and A\(\parallel\) (N) = 0.00173 cm-1.
Both cobalt(I) and cobalt(II)-containing cobalamins readily react with alkyl derivatives to give alkylcob(III)alamins:
\[Cob(II)alamin + CH_{3}I \rightarrow CH_{3}-Cob(III)alamin + \frac{1}{2}I_{2} \tag{2.32}\]
\[Cob(I)alamin + CH_{3}I \rightarrow CH_{3}-Cob(III)alamin + I^{-} \tag{2.33}\]
These can formally be regarded as complexes of cobalt(III) with a carbanion. These are rare examples of naturally occurring organometallic compounds. The Co—C bond in alkylcobalamins is relatively weak (bond dissociation energy = 100 kJ mol-1, though higher values are reported in the literature182,183) and can be broken thermally (by heating the complex above 100 °C)182-184 or photochemically, even in daylight exposure.180,181 The energy of the Co—C bond is about 17 kJ mol-1 greater when the transaxial base is absent.184
The cobalamin coenzyme is bound by the apoenzyme with no significant change in the absorption spectrum.185 This suggests that no major change occurs in the coordination of cobalt(III). The first step of the reaction involves homolytic fission of the Co—C bond:182-184, 186-188
\[B-CO^{III}-R \rightarrow B-CO^{II.}+R\cdotp \tag{2.34}\]
where Band R are the ligands at the \(\alpha\) and \(\beta\) apical positions. The 5'-deoxyadenosyl radical probably reacts with the substrate, generically indicated as SubH, to give the Sub\(\cdotp\) radical and RH. Then the rearrangement reaction proceeds along a not-well-established pathway. It is the protein-substrate binding that controls the subsequent chemistry. In the absence of protein the Co—C bond is kinetically stable; in the presence of protein and substrate the rate of labilization of the Co—C bond increases by a factor of 1011-1012.182-185 By generating the radical in the coenzyme without the protein by means of photolysis or thermolysis, we enable the coenzyme to catalyze some rearrangement reactions without the protein. It may therefore be that the protein plays a major role in inducing the homolytic fission, but a relatively minor role in the subsequent steps, perhaps confined to preventing the various species from diffusing away from each other.
Studies on protein-free corrinoids and model complexes have shown that increasing the steric bulkiness around the coordinated C\(\alpha\) atom can cause a dramatic labilization of the Co—C bond.189 The protein-coenzyme adduct might contain the coenzyme in a resting state and the protein in a strained state; the substrate would then switch the system into a strained coenzyme and a relaxed enzyme with little thermodynamic barrier. The strained form of the coenzyme is then in labile equilibrium with base-on cobalt(II) and the free radical.190 This hypothesis, that conformational changes in cobalamin can switch chemical reactions on and off, is closely analogous with the known aspects of hemoglobin function.
It has been suggested that the radical formation in the coenzyme is triggered by a steric perturbation involving an enzyme-induced conformational distortion of the corrin ring toward the deoxyadenosyl group, thereby weakening the cobalt-carbon bond.187,190-194 Structural studies of different corrinoid complexes reveal highly puckered and variable conformations of the corrin ring, attesting to its flexibility.195 For the dimethylglyoxime models, it has been shown that increasing the size of the axial ligand B does induce Co—C bond lengthening and weakening because of conformational distortion of the equatorial ligand away from B and toward the R group.196 It has been proposed that the flexibility of the corrin ligand is the reason why Nature does not use the porphyrin ligand in vitamin B12.197 In an alternative explanation, the weakening of the Co—C bond would be an electronic effect associated with the labilization of the Co—N bond.198

